В) Определение динамического и статического модуля упругости бетона
Определив вышеуказанным методом скорость распространения ультразвука в бетоне исследуемой конструкции, динамический модуль упругости бетона (Е) можно вычислить по следующей формуле:
(2)
где V - скорость распространения колебаний, м/с;
ρ - плотность бетона, определяется по формуле:

γ - объёмный вес бетона:
γ = 2.4 - 2.5 т/м3 - для тяжелого бетона;
γ = 1.1 - 1.8 т/м3 - для легкого бетона;
g - ускорение силы тяжести, равное 981 см/с2;
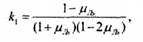
k - коэффициент, являющийся функцией от значения динамического коэффициента Пуассона (μд) исследуемого бетона.
Вид функции k = f(μд) определяется массивностью и соотношением геометрических размеров прозвучиваемой среды.
При неограниченной среде:
(3)
при среде в виде плиты:
(4)
при среде в виде стержня:
(5)
где μд - определяется по табл. 1 в зависимости от возраста и вида тепловой обработки.
Табл.1

Результаты экспериментов показывают, что динамический модуль упругости бетона (Ед) находится в определенной связи со статическими характеристиками упругости бетона. В частности, (Ед) связан с модулем упругости (Е) следующими эмпирическими формулами в зависимости от интервала изменения (Ед):
при изменении Ед от 20000 до 50000 МПа Е = Ед- 8000 (МПа); (6)
при изменении Ед от 50000 до 60000 МПа Е = 6/5 (Ед- 15000) (МПа).
Последние формулы можно использовать для вычисления статического модуля упругости бетона.