Значения предела выносливости трубы при симметричном цикле изгиба, МПа
| Диа-метр, мм | Трубы с резьбой треугольного профиля | Трубы со стабилизи-рующими поясками ТБВК | Трубы с прива- ренным и замка- ми ТБВП | Легкосплавные бурильные трубы ЛБТ | ||||||
| Д | К | Е | Д | К | Е | Д | К | Д16Т | 1953, К-48 | |
| – – – | – – - | – – – – - | – – – – – | – | – - | – – – - | – – – - | 50–56 – – 43–52 – – 36-46 | – – – – – – |
Рассмотрим расчет. Одноразмерная бурильная колонна.
1. Задаются длиной первой (нижней) секции бурильных труб и определяют напряжения, Па
(8.22)
где k– коэффициент, k= 1,15; Qб.т– вес бурильных труб данной секции, Н; Qубт– вес утяжеленных бурильных труб, Н; ρр, ρм – плотность бурового раствора и материала бурильных труб соответственно, кг/м3; р0 – перепад давления на долоте, Па; Fк – площадь сечения канала трубы, м2; Fтр – площадь сечения трубы, м2.
2 Определяются касательные напряжения (Па) для труб данной секции:
(8.23)
(8.24)
где Mкр– крутящий момент, Н⋅м.
Nв – мощность на холостое вращение бурильной колонны, кВт; Nд – мощность на вращение долота, кВт; Wр– полярный момент сопротивления, м3,
(8.25)
D, d– наружный и внутренний диаметры труб, м.
Мощность на холостое вращение бурильной колонны (кВт) определяется по формуле [8]

(8.26)
где L - длина колонны, м; dн - наружный диаметр бурильных труб, м; n - частота вращения, об/мин; ур - удельный вес раствора, Н/м3. Мощность на вращение долота (кВт) определяется по формуле
Nд= С10–7,7nD°^, (8.27)
где С – коэффициент, зависящий от крепости породы, для мягких пород С = 2,6; для средних пород С = 2,3; для крепких пород С = 1,85; Dд – диаметр долота, м; Рд – осевая нагрузка, Н.
3. Рассчитывается коэффициент запаса прочности при совместном действии нормальных и касательных напряжений:
(8.28)
где σт– предел текучести материала бурильных труб, МПа.
Допустимые значения: n= 1,4 для вертикальных скважин в нормальных условиях; n= 1,45 – при бурении в осложненных условиях.
Если величина nне отвечает требованиям, то изменяют длину секции или применяют трубы с большей прочностью. Затем необходимо задаться длиной труб второй секции с большей прочностью и выполнить аналогичный расчет. Основные характеристики бурильных труб приведены в табл. 8.20.
Геометрические характеристики бурильных трубТаблица 8.20.
| Условный диаметр, мм | Толщина стенки, мм | Площадь поперечного сечения, см2 | Осевой момент инерции поперечного сечения трубы | Осевой момент сопротивления, см3 | Приведенная масса 1 метра трубы в соответствии с диной | |||||||||||||
| трубы | канала | Гладкой части трубы части трубы | Высаженного конца в основной плоскости резьбы | 11,5 | ||||||||||||||
| Бурильные трубы с высаженными внутрь концами и навинченными замками рильные трубы с высаже нными внут рь концам и и навинчен ными замкам и | ||||||||||||||||||
| 11,7 | 16,8 | 42,3 | 14,0 | 16,0 | 10,8 | 10,4 | 10,0 | |||||||||||
| 14,5 | 14,0 | 49,1 | 16,3 | 17,2 | 12,9 | 12,5 | 12,2 | |||||||||||
| 14,5 | 27,3 | 79,9 | 21,8 | 26,9 | 14,3 | 13,6 | 12,9 | |||||||||||
| 18,0 | 23,7 | 94,4 | 25,8 | 30,8 | 17,1 | 16,4 | 15,7 | |||||||||||
| 11 7 | 21,4 18,0 | 20,4 44,2 | 152,7 | 34,3 | 45,8 | 17,5 | 16,7 | 16,0 | ||||||||||
| 22,6 | 39,6 | 183,2 | 41,2 | 54,1 | 21,1 | 20,3 | 19,5 | |||||||||||
| 26,9 | 35,2 | 209,1 | 47,0 | 56,0 | 24,3 | 23,5 | 22,8 | |||||||||||
| 20,8 | 60,3 | 234,0 | 46,1 | 62,1 | 21,8 | 20,5 | 19,3 | |||||||||||
| 23,5 | 57,5 | 259,5 | 51,1 | 68,0 | 23,9 | 23,0 | 21,4 | |||||||||||
| 26,2 | 54,9 | 283,3 | 55,8 | 73,1 | 25,7 | 24,4 | 23,2 | |||||||||||
| 28,8 | 52,3 | 305,4 | 60,1 | 77,3 | 27,6 | 26,4 | 25,2 | |||||||||||
| 23,6 | 79,0 | 341,0 | 59,7 | 92,7 | 24,2 | 22,9 | 21,6 | |||||||||||
| 26,7 | 75,9 | 379,5 | 66,4 | 100,0 | 26,7 | 25,3 | 24,0 | |||||||||||
| 29,8 | 72,8 | 415,7 | 72,7 | 106,2 | 29,0 | 27,6 | 26,4 | |||||||||||
| 32,8 | 69,8 | 449,7 | 78,7 | 111,5 | 31,4 | 30,0 | 28,7 | |||||||||||
| 35,7 | 66,9 | 481,6 | 84,3 | 113,8 | 33,5 | 32,2 | 31,0 | |||||||||||
| 26,4 | 100,2 | 476,6 | 75,0 | 119,2 | 26,6 | 25,2 | 23,9 | |||||||||||
| 29,9 | 96,7 | 531,8 | 83,7 | 129,4 | 29,3 | 27,9 | 26,6 | |||||||||||
| 33,4 | 93,3 | 584,1 | 92,0 | 138,4 | 32,0 | 30,6 | 29,3 | |||||||||||
| 36,8 | 89,9 | 633,5 | 99,8 | 146,2 | 34,6 | 33,3 | 32,0 | |||||||||||
| 33,1 | 120,1 | 720,3 | 103,1 | 169,0 | 35,1 | 32,9 | 30,9 | |||||||||||
| 36,9 | 116,3 | 792,8 | 113,5 | 181,5 | 38,0 | 35,8 | 33,8 | |||||||||||
| 40,7 | 112,5 | 861,9 | 123,4 | 192,6 | 40,0 | 38,8 | 36,8 | |||||||||||
| 44,5 | 108,8 | 927,6 | 132,8 | 206,8 | 43,9 | 41,8 | 39,8 | |||||||||||
| 45,0 | 177,3 | 92,0 | 170,3 | 138,4 | 46,0 | 43,4 | 41,1 | |||||||||||
| 49,7 | 172,6 | 99,8 | 185,9 | 146,2 | 49,6 | 47,1 | 44,7 | |||||||||||
| Бурильные трубы с приваренными по высаженной части бурильными замками | ||||||||||||||||||
| 14,5 | 27,3 | 79,9 | 21,8 | – | – | 13,8 | 13,0 | |||||||||||
| 16,3 | 25,5 | 87,6 | 24,0 | – | – | 15,1 | 14,4 | |||||||||||
| 18,0 | 44,2 | 152,7 | 34,3 | – | – | 16,7 | 15,9 | |||||||||||
| 20,4 | 41,2 | 168,6 | 37,9 | – | – | 18,9 | 18,2 | |||||||||||
| 29,8 | 72,8 | 415,7 | 72,7 | – | – | 27,5 | 26,2 | |||||||||||
| 32,8 | 69,8 | 449,7 | 78,7 | – | – | 29,8 | 28,5 | |||||||||||
| 33,4 | 93,3 | 584,1 | 92,0 | – | – | 31,5 | 29,8 | |||||||||||
| 36,8 | 89,9 | 633,5 | 99,8 | – | – | 43,0 | 32,4 | |||||||||||
Пример 8.4. Рассчитать на прочность бурильную колонну для роторного бурения и следующих условий: L = 3500 м; диаметр обсадной колонны, в которой работают бурильные трубы – 244,5 мм; n= 180 об/мин, тогда

Р д= 1,4-105 Н; Dд= 190,5-10-3 м;ур = 13 000 Н/м3;ум = 78 500 Н/м3; р 0= 7-106 Па;/убт = 150 м; gубт = 1,6-105 Н. Условия - осложненные; породы - средние.
Р е ш е н и е. 1. По табл. 8.1 выбираем бурильные трубы диаметром 127 мм. Принимаем бурильные трубы с высаженными внутрь концами и толщиной стенки 9 мм (ТБВК-127) группы прочности К.
2. Рассчитываем бурильные трубы на выносливость.
Для выбранного типа бурильных труб осевой момент инерции сечения трубы по табл. 8.20 составляет I = 584,1 см4, или I = 584,1-10–8 м4, по табл. 8.2 т= = 26,2 кг/м.
Тогда

Если длина одной бурильной трубы составляет 12,1 м, то принимаем L = 12,4 м.
Стрела прогиба
Осевой момент сопротивления находим по табл. 8.20:
Тогда по формуле (8.18) определяем переменные напряжения изгиба:

Для данного материала бурильных труб (σ–1)D= 100 МПа. По формуле (8.21) находим
|
n>1,9, что допустимо.
3. Рассчитываем выбранный тип бурильных труб на статическую прочность. Принимаем длину первой секции труб равной 2500 м. Тогда Qб.т = 2500-293 = 732 500 Н. По формуле (8.22):

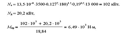
Мощность на вращение бурильной колонны по формуле (8.26)
Мощность на вращение долота находим по формуле (8.27):
Крутящий момент определяем по формуле (8.24):

Определяем полярный момент сопротивления сечения труб при кручении по формуле (8.25):

Находим касательные напряжения для труб данной секции по формуле (8.23):

По табл. 8.8 предел текучести материала труб σт = 490 МПа (для группы прочности стали К).
Коэффициент запаса прочности по формуле (8.28):

что допустимо, так как 1,74 > 1,45.
Задаемся длиной труб второй секции той же группы прочности К, но с толщиной стенки 10 мм, что будет составлять 700 м.
Тогда
где L2 – длина труб второй секции, L2 = 700 м; L1 – длина труб первой секции (считая снизу), м; q2 и q1 – вес 1 м труб второй и первой секций соответственно (принимается по табл. 8.20). Имеем




Следовательно,

что допустимо, так как 1,54 > 1,45.
Третью секцию бурильных труб предусматриваем диаметром 127 мм с толщиной стенки 10 мм, но группы прочности Е, чтобы достичь глубины спуска всей бурильной колонны 3500 м. В этом случае вес бурильной колонны (Н) составит
где L3– длина бурильных труб третьей секции, L3 = 3550 – 3200 = 300 м
Т а б л и ц а 8.21
| Номера секций снизу вверх мера секций сни зу вверх | |||
| Толщина стенки трубы, мм Группа прочности материала труб Интервал расположения, м Длина секции, м Вес 1 м трубы, Н/м Вес секции, МН | 9 К 850–3350 0,733 | 10 К 150–850 0,975 | 10 Е 0–150 300–50 = 150 м∗ 1,071 |
∗Lубт= 150 м по условию примера.
Примечание. Общий вес бурильной колонны (с учетом веса УБТ) 2,206 МН.
Тогда

МПа
|
| как и в предыдущем случае, |
|
|
следовательно
что допустимо, так как 1,54>1.45.
Параметры разработанной и расчитанной бурильной колонны сводим в таблицу 8.21.
Трубы бурильные стальныеТаблица 8.