БАНК ЗАДАНИЙ ДЛЯ ПОДГОТОВКИ К ЭКЗАМЕНУ.
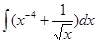
1
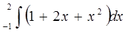
2. 
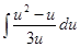
3. 
4.Найти частное решение, если:
при x=0,2 y=1
5.
. Найти
.
6.
Записать в показательной форме
7.. 
8. 
9.Решить уравнение: 
10.
Найти полный дифференциал.
11. 
12. 
13. 
14.Решить уравнение:

15.Вычислить площадь фигуры, ограниченной линиями: y = sinx, y = 0, x = 0, x= П
16. Выполнить деление 
17. 
18. 
19.Прелставить подынтегральную дробь в виде суммы простейших дробей 
20.
Найти 
21. Выполнить действия

22. 
23. 
24.Решить уравнение 
25.
Найти 
26.

27. 
28. 
29.Вычислить площадь фигуры, ограниченной линиями:
y=0
30.
Найти полный дифференциал.
31. 
32 
33. 
34.Решить уравнение 
35.
Найти полный дифференциал.
36. 
37 
38. 
39.Вычислить объем ,образованный вращением
и
вокруг оси OX
40.
Найти 
41.

42. 
43. 
44. Решить уравнение 
45.
Найти 
46. 
47. 
48.
49.Решить уравнение 
50.Вычислить площадь фигуры ,ограненной линиями:
,
,
, 
51.

52. 
53. 
54. Найти площадь фигуры, ограниченной линиями y = 2x2, x = 2, x = 4 и y = 0.
55. z = ysinx 
56. 
57. 
58. 
59. y” + 9y = 0 Найти общее решение.
60. z = excosy. 
61.
в показательной форме.
62. 
63. 
64. 
65. Решить уравнение: 2y’ = y, если при x = 0 y = 1.
66.
. Найти 
67. 
68. 
69. Найти площадь фигуры, ограниченной линиями
и 
70.
. Найти 
71.
в показательно форме.
72 . 
73. 
74. Решить уравнение: 2xdy = (y + 1)dx
75.
. Найти 
76. i257 + i734 + i417
77. 
78. 
79. Найти объем тела, полученного при вращении вокруг оси ox площади, ограниченной линиями y2 = 4x, y = 0, x = 4
80.
. Найти полный дифференциал.
81. 
82. 
83. 
84. Вычислить площадь фигуры, ограниченной линиями y = x2 и y = 2x.
85.
. Найти
и 
86. 
87. 
88. 
89. Решить уравнение: y’’ = 2.
90. z = yx. Найти полный дифференциал.
91. 
92. 
93. 
94. Решить уравнение: y’’ + 6y’ + 9y = 0.
95. z = x2y + y3. Найти полный дифференциал.
96. 
97. 
98. 
99. Решить уравнение:
.
100. z = y2ex + x2y3 + 1. Найти
.
101.
в показательной форме
102. 
103. 
104. Решить уравнение: y’’ – 8y’ + 20y = 0.
105.
. Найти
.
106. i351 + i251 + i159
107. . 
108. 
109. Решить уравнение: y’’ + 8y’ + 15y = 0.
110. z = xy. Найти полный дифференциал.
111. Вычислить

112. 
113. 
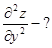
114. Скорость точки изменяется по закону: v = (3t2 + 2t + 1) м/с. Найти путь, пройденный телом за 10 секунд от начала движения.
115. z = ln(sin(x-2t)). Найти полный дифференциал.
116. Вычислить

117. 
118. 
119. Найти площадь фигуры, ограниченной линиями y = -x2 + x + 6 и y = 0.
120. Найти полный дифференциал: z = x2 + 9x3y2 – 5y4. dz - ?.
121. 
122. 
123. 
124. Найти площадь фигуры, ограниченной одной волной синусоиды.
125. Найти полный дифференциал z = ln(cos(2x-y).
126. 
127. 
128. 
129. Найти площадь фигуры, ограниченной линиями
.
130.

131. 
132. 
133. 
134. Найти объем тела, полученного при вращении вокруг оси Oy площади, ограниченной кривыми y = x2, y = 0, y = 4.
135. Найти полный дифференциал 
136. z = 2(cos120˚ + isin120˚) z9 - ?
137. 
138. 
139. Найти площадь фигуры, ограниченной линиями y = -x2 + 2x + 3 и y = 0.
140. Найти полный дифференциал. z = y(3y - 2x).
141. 
142. 
143. 
144. Найти площадь фигуры, ограниченной линиями x - 2y + 4 = 0, x + y – 5 = 0 и y = 0.
145.
. Найти
.
146. 
147. 
148. 
149. Решить уравнение: y’ = 2x(y - 1)2.
150. z = 2x5 – 4x2y – 17y5. Найти
и
.
151. 