Краткие теоретические сведения
Понятие о трении.
При движении друг относительно друга двух соприкасающихся тел ( рис.4.1) по поверхности их соприкосновения возникает касательная реакция, препятствующая движению. Она называется силой трения R
и направлена в сторону, противоположную движению.

Рис. 4.1. Рис.4.2.
Трение в машинах играет существенную роль. В передаточных механизмах – фрикционных, канатных, ременных и др. – передача движения от ведущего звена к ведомому осуществляется трением. В других случаях трение препятствует движению, поглощая значительную часть работы движущих сил.
В зависимости от вида относительного движения соприкасающихся тел различают трение скольжения и трение качения. Основную зависимость для силы трения скольжения можно выразить формулой:
(1)
где f – коэффициент пропорциональности, или коэффициент трения скольжения, зависящий от рода трущихся тел и физического состояния контактирующих поверхностей; F – Сила нормального давления, прижимающая трущиеся поверхности, друг к другу. Таким образом, сила трения прямо пропорциональна нормальному давлению и направлена в сторону, противоположную относительной скорости движения.
Из формулы (1) находим значение коэффициента трения скольжения:

где R - нормальная реакция.
Коэффициент трения скольжения f является безразмерной величиной.
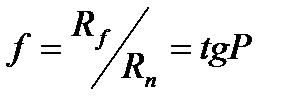
Обозначив суммарную реакцию сил Rn и Rf через RΣ (рис.4.2) и угол между суммарной и нормальной реакцией через p, находим, что коэффициент трения скольжения f является отношением противолежащего катета Rf к прилежащему
в прямоугольном треугольнике и определяется как тангенс угла P, т.е.


Рис. 4.3. Рис. 4. 4.
Угол P называется углом трения, следовательно, коэффициент трения скольжения численно равен тангенсу угла трения. Если вокруг оси, перпендикулярной к опорной плоскости, путём вращения вектора полной реакции RΣобразовать поверхность кругового конуса (рис.4.3), то получим так называемый конус трения с углом при вершине, равным двойному углу трения 2 p. Если воздействовать на тело силой Fд, расположенной внутри конуса трения, то как бы ни была велика эта сила, она не сможет вывести тело из состояния равновесия. Это явление носит название самоторможения. Сопротивление трения качения возникает при перекатывании криволинейных поверхностей контактирующихся тел. При перекатывании цилиндра по горизонтальной опорной поверхности (рис.4.4) в зоне их контакта создаются силы реакции. Эти силы распределены неравномерно. Они больше там, где происходит смятение при перекатывании цилиндра (участок СВ) и меньше в зоне разъединения (участок АС). Следствии этого нормальная реакция
, являющаяся равнодействующей всех сил реакций, смещается в сторону движения катящегося тела. Смещение k от линии действия силы тяжести цилиндра численно определяет коэффициент трения качения, который обозначается через и измеряется в миллиметрах. Представим себе, что к цилиндру на некотором расстоянии над плоскостью качения приложена сила F под действием которой цилиндр равномерно катится по опорной плоскости. Составим сумму моментов относительно точки С всех сил, действующих на цилиндр:
=0; Fh- 
где
- коэффициент трения качения), откуда, при
=G

