Эконометрика, Емелина Н.К., Козлова Н.Г., (2 кредита)
1[q]1:1:Совокупность объектов, одинаковых в каком-либо отношении, но в то же время обладающих варьирующими признаками называется
+[a]статистической совокупностью
2[q]1:1:Вся исследуемая совокупность однородных объектов называется
+[a]генеральной совокупностью
3[q]1:1:Укажите метод, согласно которомупо данным обследования выборки, взятой из генеральной совокупности, делается заключение о всей генеральной совокупности
+[a]выборочный метод
4[q]1:1:Если каждый элемент генеральной совокупности имеет одинаковую вероятность попасть в выборку, то такая выборка называется
+[a]+репрезентативной
[q]1:1:Вариационный ряд значений выборки и соответствующих им частот называется
+[a]статистическим распределением
[q]1:1:Укажите название ломаной линии с вершинами в точках (
,
), где
– варианта,
– ее частота
[a]+полигон частот
[q]1:1:Количественное значение признака в выборке называется
+[a]вариантой
[q]1:1:Найдите моду на основе выборки:

[a] 5
[a]6
[a] 7
[a] 4
[a] 9
[q]1:1:Найдите размах вариации на основе выборки:

[a] 5
[a] 6
[a] 7
[a]8
[a] 9
[q]2:1:Найдите выборочную среднюю на основе выборки:

[a] 5,3
[a]7
[a] 6,2
[a] 7,5
[a] 9,8
[q]1:1:Найдите медиану на основе выборки:

[a] 5
[a]7
[a] 6
[a] 4
[a] 9
[q]1:1: Коэффициент детерминации в парной регрессии применяется для проверки:
[a] качества прогнозов эндогенной переменной
[a] адекватности модели
[a] статистической значимости оценок параметров
[a]общего качества регрессии
[a] наличия ошибок регрессии
[q]2:1:Медиана заработной платы, на основании следующих данных
50000, 45000, 29000, 76000, 37500, 43000, 41000 тенге, равна:
[a] 50000 тг
[a] 45000 тг
[a] 29000 тг
[a] 41000 тг
[a]43000 тг
[q]2:1:Получены данные по количеству единиц товарных запасов ЖК телевизоров марки «LG» на складе за последние 15 дней:
6, 8, 3, 6, 5, 3, 5, 4, 6, 7, 4, 7, 6, 5, 4. Медиана имеет значение:
[a]5
[a] 6
[a] 8
[a] 3
[a] 4
[q]1:1:Приведены значения количества работников, отсутствовавших на работе за период в 10 дней:
3, 5, 2, 1, 4, 3, 2, 0 3, 6. Мода равна:
[a] 2
[a]3
[a] 4
[a] 5
[a] 6
[q]1:1: Укажите этап эконометрического исследования, на котором проводится проверка адекватности модели реальным процессам
[a] прогноз экономического развития
[a] формирование структуры модели
[a] сбор данных
[a] оценка параметров
[a]апробация и интерпретация результатов
[q]1:1: Укажите этап эконометрического исследования, на котором определяются структура и свойства модели, а также возможна корректировка технического задания
[a] постановки задачи
[a]разработка теоретической модели
[a] сбор данных
[a] оценка параметров
[a] сопровождение модели
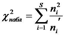
[q]1:1: Укажите критерий, с помощью которого определяют достоверность гипотезы о соответствии выборочного распределения нормальному распределению
[a] критерий Фишера
[a] критерий Лапласа
[a] критерий Стьюдента
[a] критерий Дарбина-Уотсона
[a]критерий хи-квадрат
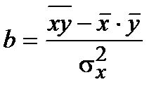
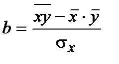
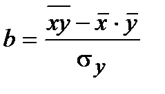
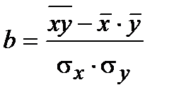
[q]1:1: Укажите формулу для определения коэффициента
в уравнении парной линейной регрессии
[a] 
[a] 
[a] 
[a] 
[a] 
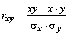
[q]1:1: Укажите формулу для определения коэффициента корреляции для парной линейной регрессии
[a] 
[a] 
[a] 
[a] 
[a] 
[q]1:1: Укажите формулу для определения коэффициента
в уравнении парной линейной регрессии
[a] 
[a] 
[a] 
[a] 
[a] 
[q]3:1: Определите значение коэффициента
в уравнении парной линейной регрессии, если
.
[a] 35,14
[a] 37,52
[a]36,83
[a] 38,02
[a] 35,08
[q]3:1: Определите значение коэффициента
в уравнении парной линейной регрессии, если
.
[a] -6,56
[a] 5,61
[a] -4,65
[a]-5,66
- -6,65
[q]3:1: Определите значение коэффициента корреляции для парной линейной регрессии, если
.
[a] 0,87
[a]0,99
[a] 0,95
[a] 0,68
[a] 0,75
[q]1:1: Укажите промежуток, которому принадлежат значение коэффициента корреляции
[a] 
[a] 
[a] 
[a] 
[a] 
[q]1:1: Укажите общий вид уравнения регрессии параболы 2-ой степени
[a] 
[a] 
[a] 
[a] 
[a] 
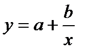
[q]1:1: Укажите общий вид уравнения регрессии равносторонней гиперболы
[a] 
[a] 
[a] 
[a] 
[a] 
[q]1:1: Укажите общий вид уравнения парной линейной регрессии
[a] 
[a] 
[a] 
[a] 
[a] 
[q]1:1: Укажите общий вид уравнения регрессии экспоненты
[a] 
[a] 
[a] 
[a] 
[a] 
[q]1:1: Укажите общий вид уравнения регрессии степенной функции
[a] 
[a] 
[a] 
[a] 
[a] 
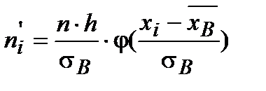
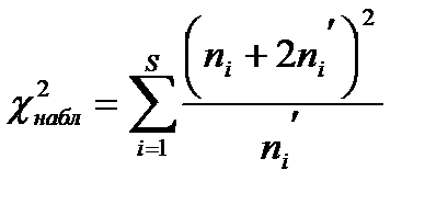
[q]3:1: Укажите формулу для определения теоретических частот при использовании критерия Пирсона
[a] 
[a] 
[a] 
[a] 
[a] 
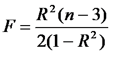
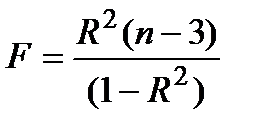
[q]2:1: Найти наблюдаемое значение критерия Фишера для коэффициента корреляции
парной линейной регрессии, если число наблюдений равняется 10
[a]19,6
[a] 10,6
[a] 12,3
[a] 13,5
[a] 16,4
[q]2:1: Найти частное значение критерия Фишера для фактора
, если 
[a] 68
[a]45
[a] 57
[a] 75
[a] 85
[q]1:1: Укажите тест, используемый для обнаружения гетероскедастичности
[a] Пирсона
[a]Голдфелда-Квандта
[a] Фишера
[a] Стьюдента
[a] Дарбина-Уотсона
[q]1:1: Найти наблюдаемое значение критерия Стьюдента, для коэффициента корреляции
уравнения парной линейной регрессии, если 
[a] 7,3
[a] 8
[a]7
[a] 8,5
[a] 7,6
[q]1:1: Найти наблюдаемое значение критерия Стьюдента для параметра
уравнения
, если 
[a]4
[a] 4,5
[a] 5
[a] 6
[a] 5,2
[q]1:1: Найти наблюдаемое значение критерия Стьюдента для параметра
, уравнения
, если 
если
[a] 4,6
[a]6
[a] 6,2
[a] 5
[a] 5,3
[q]1:1: Найти частное значение критерия Стьюдента для параметра
множественного уравнения регрессии, если 
[a] 2,89
[a] 4,89
[a] 3,06
[a] 4,52
[a]3,78
[q]1:1: Найти частное значение критерия Стьюдента для параметра
множественного уравнения регрессии, если 
[a] 3,0
[a] 1,03
[a] 2,6
[a]1,3
[a] 3,7
[q]1:1: Коэффициент детерминации равен для уравнения парной линейной регрессии определяется по формуле
[a] 
[a] 
[a] 
[a] 
[a] 
[q]2:1: Укажите верную формулу для определения выборочной средней методом произведений
[a] 
[a] 
[a] 
[a] 
[a] 
[q]2:1: Укажите верную формулу метода произведений
[a] 
[a] 
[a] 
[a] 
[a] 
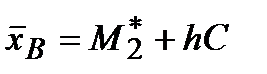
[q]3:1: Найдите выборочную дисперсию методом произведений, если известно, что условные моменты и шаг равны соответственно 
[a] 4,82
[a] 4,02
[a] 3,52
[a]3,96
[a] 5,34
[q]2:1: Укажите верную формулу для определения выборочной дисперсии методом произведений
[a] 
[a] 
[a] 
[a] 
[a] 
[q]1:1: Укажите условие при выполнении, которого в критерии Пирсона принимается гипотеза о нормальном распределении генеральной совокупности
[a] 
[a] 
[a] 
[a] 
[a] 
[q]2:1: Укажите формулу для определения наблюдаемого значения критерия Пирсона
[a] 
[a] 
[a] 
[a] 
[a] 
[q]1:1: Критическая область это –
[a] совокупность значения критерия, при которых принимается нулевая гипотеза
[a]совокупность значения критерия, при которых отвергается нулевая гипотеза
[a] единственное значение критерия, при котором принимается нулевая гипотеза
[a] единственное значение критерия, при котором отвергается нулевая гипотеза
[a] произвольная область
[q]1:1: Гипотеза, противоречащая нулевой гипотезе называется:
[a] первой
[a] обратной
[a] единственной
[a] вторичной
[a]альтернативной
[q]1:1: Гипотеза о виде неизвестного распределения или о параметрах известного распределения называется:
[a] простой
[a] нулевой
[a]статистической
[a] вероятностной
[a] сложной
[q]1:1: Укажите условие для коэффициента корреляции, при котором связь между Х и У считается средней тесноты
[a]
[a]
[a]
[a]
[a]
[q]1:1: Укажите условие для коэффициента корреляции, при котором связь между Х и У считается тесной
[a]
[a]
[a]
[a]
[a]
[q]1:1: Укажите условие для коэффициента корреляции, при котором связь между Х и У считается слабой
[a]
[a]
;
[a]
;
[a]
;
[a]
.
[q]1:1: Корреляционной зависимостью между двумя переменными величинами называется функциональная зависимость между значениями одной из них и … Продолжите фразу.
[a] предельным распределением другой переменной
[a] множеством значений другой переменной
[a]условным математическим ожиданием другой переменной
[a] условной дисперсией другой переменной
[a] условным средним квадратическим отклонением другой переменной
[q]1:1: Укажите критерий, с помощью которого оценивается автокорреляция остатков уравнения регрессии
[a] Пирсона
[a] Гольдфельда-Квандта
[a] Фишера
[a] Стьюдента
[a]Дарбина-Уотсона
[q]2:1: Найдите наблюдаемое значение критерия Дарбина-Уотсона, если 
[a] 4,6
[a]3,2
[a] 3,9
[a] 5,6
[a] 2,8
[q]2:1: Найдите наблюдаемое значение критерия Дарбина-Уотсона, если 
[a]4,3
[a] 3,2
[a] 3,5
[a] 5,7
[a] 2,8
[q]1:1: Укажите формулу для определения коэффициента автокорреляции остатков
[a]
, где d – наблюдаемое значение критерия Дарбина-Уотсона
[a]
, где d – наблюдаемое значение критерия Дарбина-Уотсона
[a]
, где d – наблюдаемое значение критерия Дарбина-Уотсона
[a]
, где d – наблюдаемое значение критерия Дарбина-Уотсона
[a]
, где d – наблюдаемое значение критерия Дарбина-Уотсона
[q]2:1: Укажите условие для наблюдаемого значения критерия Дарбина-Уотсона, при котором автокорреляция остатков считается положительной
[a] 
[a] 
[a] 
[a] 
[a] 
[q]2:1: Укажите условие для наблюдаемого значения критерия Дарбина-Уотсона, при котором автокорреляция остатков считается отрицательной
[a] 
[a] 
[a] 
[a] 
[a] 
[q]3:1:Определите вид автокорреляции остатков, если 
[a] положительная автокорреляция
[a] автокорреляции нет
[a]отрицательная автокорреляция
[a] имеет место случай неопределенности
[a] непрерывная автокорреляция
[q]3:1: Определите вид автокорреляции остатков, если 
[a] автокорреляции нет
[a] отрицательная автокорреляция
[a] имеет место случай неопределенности
[a]положительная автокорреляция
[a] непрерывная автокорреляция
[q]1:1:Укажите метод, применяемый для устранения автокорреляции в остатках
[a] метод наименьших квадратов
[a] метод наибольших квадратов
[a]обобщенный метод наименьших квадратов
[a] метод Фишера
[a] метод Стьюдента
[q]2:1:Найдите значение индекса корреляции, если 
[a] 0,8
[a]0,9
[a] 0,7
[a] 0,5
[a] 0,6
[q]2:1:Найти наблюдаемое значение критерия Стьюдента для коэффициента корреляции
уравнения парной линейной регрессии, если 
[a] 1,2
[a] 7,4
[a] 6,8
[a]3,3
[a] 7
[q]2:1:Найти наблюдаемое значение критерия Стьюдента для параметра
уравнения
, если 
[a] 1,4
[a] 0,5
[a] 5,4
[a] 6,8
[a]3,2
[q]2:1:Найти наблюдаемое значение критерия Стьюдента для параметра
, уравнения
, если 
если
[a] 3,9
[a] 6,2
[a]4,5
[a] 5
[a] 5,3
[q]3:1:Составьте систему нормальных уравнений для определения коэффициентов двухфакторной модели регрессии, если 


[a] 
[a] 
[a] 
[a] 
[a] 
[q]2:1:Укажите формулу для определения наблюдаемого значения критерия Фишера для уравнения регрессии параболы второй степени
[a] 
[a] 
[a] 
[a] 
[a] 
[q]2:1:Укажите формулу для определения наблюдаемого значения критерия Фишера для уравнения регрессии степенной функции
[a] 
[a] 
[a] 
[a] 
[a] 
[q]2:1:Укажите формулу для определения среднего коэффициента эластичности для уравнения парной линейной регрессии 
[a] 
[a] 
[a] 
[a] 
[a] 
[q]2:1:Укажите формулу для определения среднего коэффициента эластичности для уравнения регрессии параболы второй степени 
[a] 
[a] 
[a] 
[a]
[a] 
[q]2:1:Укажите формулу для определения среднего коэффициента эластичности для уравнения регрессии равносторонней гиперболы 
[a] 
[a] 
[a] 
[a] 
[a] 
[q]1:1:Укажите формулу для определения среднего коэффициента эластичности для уравнения регрессии степенной функции 
[a] 
[a] 
[a] 
[a] 
[a] 
[q]2:1:Укажите формулу для определения среднего коэффициента эластичности для уравнения регрессии показательной функции 
[a] 
[a] 
[a] 
[a] 
[a] 
[q]1:1:Найти размах вариации на основе выборки:

[a]9
[a] 5
[a] 12
[a] 2
[a] 20
[q]2:1:Найти коэффициент корреляции, если известно, что 
[a]0,4
[a] 0,6
[a] 0,5
[a] -0,6
[a] -0,4
[q]2:1:По выборке объема
найдена дисперсия
. Исправленная дисперсия равна:
[a] 41
[a]4,1
[a] 2
[a] 16,4
[a] 4,5
[q]2:1:По выборке объема
найдена дисперсия
. Исправленная дисперсия равна:
[a] 30
[a] 12,23
[a] 1,65
[a]5,79
[a] 9,12
[q]2:1:Выборочная совокупность задана таблицей распределения:

Выборочная средняя равна:
[a]4,5
[a] 6,8
[a] 3,7
[a] 7,3
[a] 5,1
[q]2:1:Найти коэффициент вариации, если известно, что
.
[a] 10%
[a] 10,5%
[a] 8%
[a] 11%
[a]12,5%
[q]2:1:Выборочная совокупность задана таблицей распределения:

Найти выборочную среднюю арифметическую.
[a] 3,3
[a] 2,5
[a]4,2
[a] 5,6
[a] 6,7
[q]3:1:Выборочная совокупность задана таблицей распределения:

Найти дисперсию.
[a]4,76
[a] 2,61
[a] 3,23
[a] 3,57
[a] 5
[q]3:1:Составьте систему нормальных уравнений для определения коэффициентов уравнения регрессии параболы второй степени, если 

[a] 
[a] 
[a] 
[a] 
[a] 
[q]1:1:Укажите условие, при выполнении которого считается, что факторы, входящие во множественную модель регрессии, мультиколлинеарны
[a] 
[a] 
[a] 
[a] 
[a] 
[q]2:1:Найти наблюдаемое значение критерия Фишера для коэффициента корреляции
парной линейной регрессии, если число наблюдений равно 7
[a]32,01
[a] 16,72
[a] 23,45
[a] 26,89
[a] 38,47
[q]2:1:Найти наблюдаемое значение критерия Фишера для индекса корреляции
двухфакторной линейной регрессии, если число наблюдений равно 30
[a] 20,62
[a] 25,87
[a]32,36
[a] 39,75
[a] 43,29
[q]2:1:Найти наблюдаемое значение критерия Фишера для индекса корреляции
двухфакторной линейной регрессии, если число наблюдений равно 20
[a]10,93
[a] 15,89
[a] 22,68
[a] 38,52
[a] 43,23
[q]3:1:Найдите частный коэффициент корреляции
, если 
[a] -0,91
[a]0,90
[a] 0,64
[a] -0,75
[a] 0,77
[q]3:1:Найдите частный коэффициент корреляции
, если 
[a] 0,96
[a] -0,63
[a] -0,37
[a]0,49
[a] 0,85
[q]2:1:Найдите значение коэффициента эластичности, если 
[a]1,03%
[a] 0,65%
[a] 0,43%
[a] 2,04%
[a] 3,73%
[q]2:1:Найдите значение коэффициента эластичности, если 
[a] 1,73%
[a] 1,65%
[a] 0,39%
[a] 2,44%
[a]0,23%
[q]3:1:Найдите значение коэффициента эластичности, если 
[a] 2,03%
[a]0,86%
[a] 0,41%
[a] 1,04%
[a] 3,73%
[q]3:1:Найдите значение коэффициента эластичности, если 
[a] 1,95%
[a] -1,25%
[a] 2,98%
[a]1,1%
[a] 2,84%
[q]3:1:Найдите значение коэффициента эластичности, если 
[a] 1,05%
[a]0,41%
[a] -0,58%
[a] 2,04%
[a] -1,84%
[q]3:1:Найдите значение коэффициента эластичности, если 
[a] 1,37%
[a] 2,41%
[a] -0,58%
[a] 2,04%
[a]0,60%
[q]2:1:Найдите значения частных коэффициентов эластичности, если 
[a] 
[a]
[a] 
[a] 
[a] 
[q]3:1:Найдите значения средних по совокупности коэффициентов эластичности, если 
[a] 
[a] 
[a] 
[a] 
[a] 
[q]3:1:Найдите значение коэффициента эластичности, если 
[a] -2,105%
[a] 0,103%
[a]-0,973%
[a] 3,124%
[a] -1,943%
[q]2:1:Найдите значение коэффициента эластичности, если 
[a] 1,32%
[a]0,59%
[a] 0,14%
[a] 2,61%
[a] 3,51%
[q]2:1:Найдите значение коэффициента эластичности, если 
[a] 3,32%
[a] -0,59%
[a] -1,54%
[a] 2,61%
[a]1,63%
[q]3:1:Найдите значение коэффициента эластичности, если 
[a]
%
[a] -0,59%
[a]
%
[a]
%
[a]
%
[q]2:1:Индекс корреляции равен 0,6. На сколько процентов вариация результата у объясняется вариацией фактора х:
[a]36%
[a] 0,36%
[a] 56%
[a] 0,6%
[a] 60%
[q]2:1:Индекс корреляции равен 0,8. На сколько процентов вариация результата у объясняется вариацией фактора х:
[a] 0,64%
[a] 36%
[a]64%
[a] 0,8%
[a] 80%
[q]1:1: На основе годовых данных об изменении урожайности картофеля в регионе были оценены коэффициенты линейного тренда:
Согласно модели среднегодовой прирост урожайности составил:
[a]176,6 ц/га
[a]172,2 ц/га
[a]167,8 ц/га
[a]4,7 ц/га
[a]4,0 ц/га
[q]1:1: Динамика среднегодовой численности занятых в народном хозяйстве в период с 2000-2006 гг. описывается моделью:
Согласно модели численность занятых в среднем ежегодно сокращалась на:
[a]70,5 млн.чел. в год
[a]1,6 млн.чел. в год
[a]68,9 млн.чел. в год
[a]72,1 млн.чел. в год
[a]9,8 млн.чел. в год
[q]1:1: Годовая динамика прибыли компании описывается моделью:
Согласно модели среднегодовой прирост прибыли составил:
[a]6,4 тыс.долл.
[a]272,2 тыс.долл.
[a]-6,4 тыс.долл.
[a]372,2 тыс.долл.
[a]72,2 тыс.долл.
[q]1:1: Была построена линейная модель зависимости объема продаж у (млн. тг) от затрат на рекламу х (млн. тг)
. При увеличении затрат на рекламу на 1 млн. тенге объем продаж вырастет на:
[a] 122 млн. тг.
[a] 154,7 млн. тг.
[a] 89,3 млн. тг.
[a]32,7 млн. тг.
[a] 327 млн. тг.
[q]1:1: Была построена линейная модель зависимости объема продаж у (млн. тг) от затрат на рекламу х (млн. тг)
. При нулевых затратах на рекламу объем продаж в среднем будет на уровне:
[a]122 млн. тг.
[a] 154,7 млн. тг.
[a] 89,3 млн. тг.
[a] 32,7 млн. тг.
[a] 327 млн. тг.
[q]2:1:Укажите формулу для определения коэффициента множественной корреляции
[a] 
[a] 
[a] 
[a] 
[a] 
[q]3:1:Найдите параметр
для уравнения регрессии равносторонней гиперболы, если 
[a] 2,912
[a] -6,897
[a] -3,809
[a] 10,312
[a]6,35
[q]3:1:Найдите параметр
для уравнения регрессии равносторонней гиперболы, если 
[a]-11,36
[a] -16,65
[a] -5,32
[a] 12,17
[a] 7,625
[q]1:1:Переменные, учитывающие влияние качественных факторов на эндогенную переменную, называются:
[a]инструментальными
[a]фиктивными
[a] экзогенными
[a] объясняющими
[a] объясняемыми
[q]1:1:Коррелированность случайных остатков с различными номерами называется:
[a]автокорреляцией
[a] гомоскедастичностью
[a] гетероскедастичностью
[a] мультиколлинеарностью
[a] эластичностью
[q]1:1:Фиктивные переменные являются переменными:
[a]количественными
[a] логическими
[a] лаговыми
[a]качественными
[a] константами
[q]1:1:Статистика Голдфелда-Квандта имеет распределение
[a]Гаусса
[a] хи-квадрат
[a]Фишера
[a] Стьюдента
[a] Спирмена
[q]2:1: По данным бюджетного обследования семи случайно выбранных семей изучалась зависимость накоплений у от дохода х1 и стоимость имущества х2. В результате было получено уравнение регрессии
. Если доход семьи увеличится на 5 усл. ед., а стоимость имущества – на 15 усл.ед, то накопления возрастут на величину:
[a]1,29
[a]4,76
[a]0,135
[a]6,481
[a]5,329
[q]2:1:По данным бюджетного обследования семи случайно выбранных семей изучалась зависимость накоплений у от дохода х1 и стоимость имущества х2. В результате было получено уравнение регрессии
. Если доход семьи возрастет на 10 усл. ед., а стоимость имущества не изменится, то накопления возрастут на величину:
[a]1,29
[a]4,76
[a]0,135
[a]6,481
[a]5,329
[q]1:1:Зависимость дисперсии случайных остатков от номера наблюдения называется:
[a]гетероскедастичностью
[a] гомоскедастичностью
[a] автокорреляцией
[a] мультиколлинеарностью
[a] эластичностью
[q]2:1:По следующей матрице парных коэффициентов корреляции, определите мультиколлинеарные факторы

[a]
и 
[a]
и 
[a]
и 
[a]
и 
[a]
и 
[q]1:1:По следующей матрице парных коэффициентов корреляции, отобрать факторы, оказывающие наибольшее влияние на результат

[a]
и 
[a]
и 
[a]
и 
[a]
и 
[a]
и 
[q]1:1:По следующей матрице парных коэффициентов корреляции, отобрать факторы, оказывающие наибольшее влияние на результат

[a]
и 
[a]
и 
[a]
и 
[a]
и 
[a]
и 
[q]1:1:Причина гетероскедастичности:
[a] ошибка спецификации
[a] масштабность измерения
[a] ошибки измерения
[a]исследование неоднородных объектов
[a] разброс наблюдений
[q]1:1:Причина автокорреляции:
[a] разброс наблюдений
[a]характер данных
[a] исследование неоднородных объектов
[a] ошибки измерения
[a] ошибка спецификации
[q]1:1:Способ корректировки автокорреляции:
[a] метод взвешенных наименьших квадратов
[a] сортировка данных
[a] нелинейные модели
[a] метод наименьших квадратов
[a]авторегрессионные модели
[q]1:1:Способ корректировки гетероскедастичности:
[a]метод взвешенных наименьших квадратов
[a] сортировка данных
[a] нелинейные модели
[a] метод наименьших квадратов
[a] авторегрессионные модели
[q]1:1:Укажите формулу для определения относительных частот
[a] 
[a] 
[a] 
[a] 
[a] 
[q]1:1: Укажите формулу для определения выборочной средней
[a] 
[a] 
[a]
[a] 
[a] 
[q]1:1:Укажите формулу для определения размаха вариации
+[a] 
[q]1:1:Укажите формулу для определения выборочной дисперсии
[a] 
[a]
[a] 
[a] 
[a]
[q]2:1:Укажите формулу для определения исправленной дисперсии
+[a] 
[q]1:1:Укажите формулу для определения среднего квадратического отклонения
+[a] 
[q]1:1:Укажите формулу для определения коэффициента вариации
+[a] 
[q]1:1:Множество из
объектов, отобранных случайным образом из генеральной совокупности, называется
+[a]выборочной совокупностью
[q]1:1:Укажите название ступенчатой фигуры, состоящей из прямоугольников с основаниями длиной
и высотой
, где
- длина каждого частичного интервала
+[a]гистограмма
[q]1:1:Последовательность значений вариант, расположенных в возрастающем порядке, называется
+[a]вариационным рядом
[q]2:1:По следующему статистическому распределению определите объем выборки

+[a]100
[q]2:1:По следующему статистическому распределению определите объем выборки

+[a]46
[q]1:1:Укажите формулу для определения медианы, если объем выборки является четным числом 
[a] 
[a] 
[a] 
[a] 
[a] 
[q]1:1:Укажите формулу для определения медианы, если объем выборки является нечетным числом 
[a] 
[a] 
[a] 
[a] 
[a] 
[q]1:1:Для проверки значимости коэффициентадетерминации используется статистика с распределением:
+[a]Фишера
[q]1:1:Для проверки значимости коэффициентарегрессии используется статистика с распределением:
+[a] Фишера
[q]2:1:Найдите значение коэффициента вариации, если 
[a] 29,65%
[a] 30,25%
[a] 31,26%
[a] 32,56%
[a]33,37%
[q]2:1:Найдите значение коэффициента вариации, если 
[a]24,95%
[a] 16,36%
[a] 25,23%
[a] 20,35%
[a] 23,89%
[q]2:1:Укажите систему нормальных уравнений метода наименьших квадратов для определения коэффициентов парной линейной регрессии
[a] 
[a] 
[a] 
[a] 
[a] 
[q]2:1:Укажите формулу для определения случайной ошибки коэффициента
парной линейной регрессии
+[a] 
[q]2:1:Укажите формулу для определения случайной ошибки коэффициента
парной линейной регрессии
+[a] 
[q]2:1:Укажите формулу для определения случайной ошибки коэффициента парной линейной корреляции
+[a] 
[q]1:1:Укажите явление, возникающее при построении моделей множественной линейной регрессии и заключающиеся в наличие линейной взаимосвязи двух или нескольких объясняющих переменных
+[a]мультиколлинеарность
[q]3:1:Укажите систему нормальные уравнения метода наименьших квадратов для параболической зависимости
[a]
[a] 
[a] 
[a] 
[a] 
[q]2:1:Укажите систему нормальных уравнений метода наименьших квадратов для гиперболы
[a] 
[a] 
[a] 
[a] 
[a] 
[q]2:1:Укажите формулу для определения индекса корреляции
[a]
[a] 
[a] 
[a] - 
[a] 
[q]1:1:Укажите формулу для определения коэффициента эластичности
[a] 
[a] 
[a] 
[a] 
[a] 
[q]1:1:Укажите формулу для определения среднего коэффициента эластичности
[a]
[a] 
[a] 
[a] 
[a]
[q]1:1:Постоянствimg src="images/picture-329-68.png">
[q]1:1:Постоянство дисперсий случайных отклонений называется
+[a]гомоскедастичностью
[q]1:1:Непостоянство дисперсий случайных отклонений называется
+[a]гетероскедастичностью
[q]1:1:Корреляционная зависимость между текущими уровнями некоторой переменной и уровнями этой же переменной, сдвинутыми на несколько периодов времени назад, называется
+[a]автокорреляцией
[q]1:1:Укажите формулу для определения точечного коэффициента эластичности
[a] 
[a] 
[a] 
[a] 
[a] 
[q]1:1:В качестве критерия отбора уравнения регрессии в методе наименьших квадратов используется
[a] 
[a] 
[a] 