Двигатели пожарных автомобилей
На пожарных автомобилях применяются четырехтактные карбюраторные двигатели или дизели.
В карбюраторных двигателях рабочая смесь бензина с воздухом осуществляется вне их цилиндров в карбюраторах. Эта смесь при положении поршней вблизи верхней «мертвой точки» воспламеняется от искры свечи зажигания.
В дизельных двигателях топливо впрыскивается форсунками в цилиндры при положении поршней вблизи верхней «мертвой точки». Образовавшаяся смесь распыленного форсункой дизельного топлива и воздуха воспламеняется в конце такта сжатия. Поэтому давление в цилиндрах дизеля должно быть выше, чем у карбюраторных двигателей. Оно в основном зависит от степени сжатия всасываемого воздуха. Степенью сжатия двигателя ε называют отношение:
e =
(6.2)
где Va – полный объем цилиндра (положение поршня в НМТ)л
Vc – объем камеры сгорания (положение поршня в ВМТ), л.
Принято, что на поршень действует некоторое среднее давление, издаваемое газами, образующимися при сгорании топлива. Оно называется индикаторным Рi, Па.
Протяжение рабочего хода поршня характеризует полезную работу. Зная Рi (оно измеряется приборным индикатором), рабочий объем цилиндра Vp, м3, число цилиндров, частоту вращения коленчатого вала n, об/мин, определяют индикаторную мощность:
(6.3)
Часть образующейся мощности теряется на преодоление трения поршневых колец и стенки цилиндров, трение в подшипниках, на приведение в действие механизма газораспределения, топливных, масляных насосов и т.п. Эти потери называют механическими потерями Nм Вт. Тогда эффективная мощность Nе, снимаемая с коленчатого вала двигателя, равна
Nе = Ni∙Nм, Вт (6.4)
Совершенство конструкции двигателя оценивают величиной механического коэффициента полезного действия (КПД):
hм =
. (6.5)
Мощности Ne и Nм определяют на специальных стендах. С помощью тормозных устройств определяют также крутящие моменты Me, Н∙м, при заданных частотах вращения коленчатого вала n, об/мин. Тогда эффективную мощность Nе, определяют по формуле
Ne = Me w = Me
Вт(6.6)
где Mе – эффективный крутящий момент, Н∙м; ω – скорость вращения коленчатого вала двигателя, с–1; п – частота вращения коленчатого вала двигателя, об/мин.
Преобразуя формулу (6.6) и выражая мощность Ne в кВт, находят
величину Mе, Н·м.
Mе =
,Нм (6.7)
Важной характеристикой является удельный эффективный расход топлива ge, кг/(кВт·ч):
ge =
, кг/кВт∙ч (6.8)
где Gт– часовой расход топлива, кг/ч.
Параметры основных показателей, характеризующих двигатели, приводятся в табл. 6.3.
Таблица 6.3
| Показатели | Размерность | Карбюраторные двигатели | Дизели |
| Степень сжатия e Давление Рс Давление Рz Механический коэффициент полезного действия hм Удельный эффективный расход топлива gе | – МПа МПа – г/(кВт∙ч) | 4–10 0,8–2,0 3–6 0,75–0,85 290–350 | 14–17 3–7 6–9 0,7–0,83 234–265 |
На пожарных автомобилях предпочтительнее использовать дизели,
так как расход топлива в них меньше на 25–30 %, чем у карбюраторных двигателей. Следует указать также, что пуск дизеля труднее, чем пуск карбюраторного двигателя, вследствие различия величины e.
Важной характеристикой двигателя является токсичность выпускных газов. В них, кроме продуктов полного сгорания (углекислого газа и паров воды) содержится в небольшом количестве оксид углерода СО, углероды различного состава и строения СН, сажа, а также оксиды азота состава NOx, свинец, входящий в состав этиловой жидкости. Концентрацию СН, СО, NOx и сажи определяют специальными приборами, концентрацию СО определяют в % (об.), сажу – в г/м3.
Концентрацию СН и NOx записывают в миллионных долях, например,
rCH=
(6.9)
где rCH – концентрация СН в выпускных газах, млн–1; VСН – парциальный объем СН, м3; Vсм – объем выхлопных газов, м3.
Содержание токсичных веществ в выпускных газах двигателей приводится в табл. 6.4.
Таблица 6.4
| Тип двигателя | СН, млн–1 | СО, % (об.) | NOx, млн–1 | Сажа, г/м3 |
| Карбюраторный Дизельный | 1000–3500 50–1000 | 0,2–6 0,05–0,3 | 400–4500 200–2000 | 0,05 0,1–0,3 |
Сажа является очень опасной. На ней адсорбируется большое количество веществ и она, к сожалению, не улетучивается, а осаждается на пол. Наиболее опасным веществом из них является бенз-
-пирен, так как по некоторым данным он является возбудителем онкологических заболеваний.
Характеристики двигателей – это зависимости основных показателей двигателей Ne, Me и ge от частоты вращения его коленчатого вала n, об/мин.
Характеристику Ne = f(n) называют скоростной (кривая 1 на рис. 6.3). Скоростную характеристику, полученную при полной подаче топлива, называют внешней. Характеристики, получаемые при неполной подаче топлива, называют частичными (кривая 2 на рис. 6.3).
В характеристиках указывают минимальные обороты двигателя nmin, обороты nN, соответствующие максимальной мощности Ne max, и обороты максимального крутящего момента
В случае установки на двигателе ограничителей скорости Ne и Me
изменяются (прямые 5 на рис. 6.3). Максимальная скорость nmaxотличается от nN на величину около 10 %.
Из рис. 6.3 следует, что область, ограниченная внешней скоростной характеристикой (кривая 1) и диапазоном скоростей от
до nN, явля-
| Ne, кВт |
| Мe, Н∙м |
| Ne max |
| Me max |
| 1 |
| nmin |
| nMemax |
| nN |
| n, об/мин |
| 2 |
| 3 |
| 5 |
| Me |
| MNmaxmax e |
| Ne |
| Me |
| Me |
| nmax |
|
| 4 |
Рис. 6.3. Скоростная характеристика двигателя:
1 – внешняя скоростная характеристика; 2 – частичная характеристика;
3 – крутящий момент; 4 – удельный расход топлива ge, г/(кВт∙ч);
5 – регуляторные характеристики
ется областью, в которой эксплуатируются двигатели. Для примера приводится внешняя скоростная характеристика дизеля КамАЗ-740.11 мощностью 176 кВт (рис. 6.4).
| 1 |
| 2 |
| 3 |
| Mе, H∙м |
| Ne, кВт |
| Рис. 6.4. Внешняя скоростная характеристика двигателя КамАЗ-740.11: 1 – крутящий момент; 2 – внешняя скоростная характеристика; 3 – удельный расход топлива |
| n, об/мин |
| ge, г/(кВт·ч) |
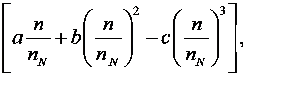
В документации на двигатели указывают Ne max, кВт и nN,об/мин. По значениям этих величин ориентировочно может быть определена внешняя скоростная характеристика двигателя, используя формулу
Ne = Ne max
(6.10)
где n – текущие значения частот вращения вала двигателя, об/мин.
Для карбюраторных двигателей а = b = с = 1, а для дизелей а = 0,53; b = 1,56 и с = 1,09.
Приводимые в справочниках значения Ne max и nN получены на основании стендовых испытаний. На автомобилях же мощность частично расходуется на привод вентилятора, компрессора, часть ее теряется в глушителе
и т. д. Поэтому в расчетах эту часть энергии учитывают коэффициентом коррекции Kк. Для двухосных автомобилей Kк = 0,88, а для трехосных Kк = 0,85.
Важной характеристикой для двигателей внутреннего сгорания является величина крутящего момента. Его величина и крутизна изменения
в зависимости от частоты вращения вала двигателя M = f(n) и характеризуют приспособляемость двигателя. Это способность двигателя преодолевать (без воздействия со стороны водителя) возможное увеличение сопротивления от внешней нагрузки. Она характеризуется следующими отношениями (см. рис. 6.3): 
K =
или K =
. (6.11)
Чем круче поднимается кривая Ме при уменьшении n, тем меньше снизится скорость автомобиля при увеличении сопротивления движению. Следовательно, можно будет преодолевать более крутые подъемы, не переходя на пониженную передачу. Следовательно, чем больше K, тем лучше тяговые качества автомобиля, выше средняя скорость движения и легче управление.
По показателю K предпочтительнее бензиновые двигатели. У них
K = 1,2–1,4, а у дизелей K = 1,05–1,15. Поэтому у дизелей применяют корректоры, повышающие K. Кроме того, на автомобилях с дизелями всегда больше число ступеней скоростей в коробке передач, чем у автомобилей
с карбюраторными двигателями.
На пожарных автомобилях используются двигатели различных типов и серий. Параметры основных характеристик некоторых двигателей приводятся в табл. 6.5.
Таблица 6.5
| № п/п | Марка | Тип | Ne max, кВт | nN, об/мин |
| ЗИЛ-130 ЗИЛ-508.10 ЗМЗ-66 ЯМЗ-236 ЯМЗ-138 ЗИЛ-645 КамАЗ-740 КамАЗ-740.11 | К К К Д Д Д Д Д | 84,4 |
Примечание. К – карбюраторный двигатель; Д – дизель.
Режимы эксплуатации двигателей ПА характеризуются рядом особенностей.
В гаражах пожарных частей ПА содержатся при температурах окружающей среды, а зимой – при температуре не ниже 16 °С. Естественно, что это и температура охлаждающей жидкости двигателя. При вызове и следовании на пожар в течение 5–10 мин двигатели работают в режиме прогрева. Если путь следования относительно небольшой, то в транспортном режиме двигатель ПА эксплуатируется в режиме прогрева. Это первая особенность их эксплуатации. В среднем в течение года пробеги ПА по показаниям спидометра достигают значений 3 500–4 000 км.
Второй особенностью эксплуатации двигателей является отбор мощности от них в стационарном режиме ПА. В стационарном режиме работа на насосе достигает 100–120 ч в год. Так как один час работы двигателя
в стационарном режиме эквивалентен пробегу, равному 50 км, то приведенный пробег равен 5 000–6 000 км в год. Это соизмеримо с продолжительностью эксплуатации в транспортном режиме ПА.
Третья особенность их эксплуатации характеризуется тем, что они работают от нескольких десятков минут при тушении обычных повседневных пожаров до нескольких часов при тушении крупных пожаров. Этим обусловлено требование, чтобы двигатель обеспечивал непрерывную работу насоса в течение шести часов при номинальных значениях напора и величины подачи воды. Это очень жесткие условия еще и потому, что в стационарном режиме эксплуатации отсутствует натекающий поток воздуха на радиатор, имеющий место в транспортном режиме эксплуатации. Поэтому не исключено, что в некоторых случаях может происходить перегрев двигателя. Для его предотвращения было установлено ограничение отбираемой мощности в стационарном режиме nст = 0,7 Nmax. При необходимости в движении до 0,2 Nmax. Во избежание большой интенсивности износа двигателей было установлено ограничение частоты вращения вала двигателя n = 0,75 nN.
| Ne, кВт |
| Рис. 6.5. Поле отбора мощности от двигателя в стационарном режиме: 1 – внешняя скоростная характеристика; 2 – частичная скоростная характеристика |
| a |
| n, об/мин |
| nN |
| 0,75 nN |
| К |
| Ne max |
| 1 |
| 2 |
| nmin |
| Ne, кВт |
Отобразим эти ограничения на внешней скоростной характеристике двигателя (рис. 6.5). Из точки К построим частичную скоростную характеристику аК. Ее можно построить по формуле (6.10), приняв координаты точки К за исходные. Рекомендуется также, чтобы в точке К был запас мощности не менее 15 %, как показано на рис. 6.5. Ограничение режимов эксплуатации двигателя по мощности и частоте вращения вала значительно сокращает поле использования его полезной мощности. Это, естественно, требует жесткого согласования режимов работы двигателя и потребителя.
В случае, если потребляемая мощность будет превосходить мощность, соответствующую точке К, необходимо использовать устройство дополнительного охлаждения двигателя. Для этого на некоторых автоцистернах
установлены теплообменники (рис. 6.6). Вода из системы охлаждения двигателя поступает в корпус 1 теплообменника и охлаждается водой, поступающей из пожарного насоса.
В двигателях автоцистерн изменена система выпуска выпускных газов. Перед глушителем 5 (рис. 6.7) установлен газоструйный вакуумный аппарат 6. Выпускные газы двигателя поступают к патрубкам 1. Газоструйный насос в аппарате 6 отсасывает воздух из пожарного насоса по трубке 2. В пожарном насосе создается необходимый вакуум для заполнения его водой из естественного или искусственного источника.
| Рис. 6.6. Принципиальная схема теплообменника: 1 – корпус теплообменника; 2 – змеевик с подачей воды из насоса |
| Рис. 6.7. Система выхлопа отработавших газов (ОГ): 1 – патрубки; 2 – трубка к вакуумному крану и насосу; 3 – отвод газов для обогрева цистерны; 4 – выхлопная труба; 5 – глушитель; 6 – газоструйный вакуумный аппарат |
| 1 |
| 2 |
| 6 |
| 1 |
| 5 |
| 3 |
| 4 |
| 2 |
| Двигатель |
| Насос |
| ОГ |
Из аппарата 6 выпускные газы поступают в резонатор, соединяющий звуковые сигналы. Из глушителя они выходят
в атмосферу по выхлопной трубе 4. В зимнее время они по трубопроводу 3 направляются в систему обогрева цистерны или насосного отсека с пожарным насосом.