Волновое уравнение (лекция 2).
Получим волновое уравнение:
ε = const(однородная среда), H = const(однородное пространство),
ρ = 0(нейтральная среда), j = 0(непроводящая среда)
- плоские ЭМВ зависят только от координаты z и времени t


Для плоского поля:

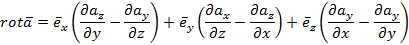
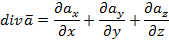
Система уравнений максвелла будет записываться так:
1) 
2) 
3) 
4)
5) 
6) 


Тогда:



Волновое уравнение ЭМВ
ξ - обобщенная координата пси.

