Выбор и проверка токоограничивающих реакторов.
Реактор выбирается по напряжению установки UУСТ, роду установки, длительному току нормального режима IН.Р и индуктивному сопротивлению ХР и проверяется на термическую и электродинамическую стойкость.
При выборе индуктивного сопротивления реактора исходят из условия экономически целесообразного ограничения тока КЗ. Степень ограничения тока КЗ при повреждениях за реактором определяется параметрами отключающих аппаратов и сечением кабелей, термическая стойкость которых должна быть обеспечена при установке реактора.
Индуктивное сопротивление реактора при заданном типе выключателя у потребителя выбирается, полагая, что при КЗ за реактором ток КЗ не должен превышать номинальное значение тока отключения выкл-теля IКЗ £ IНОМ.ОТ и тока, определяемого термической стойкостью сабеля по условию
IКЗ £ (qВЫБР·С)/Ö( tОТКЛ + Ta), где tОТКЛ – время отключения присоединений; qВЫБР – сечение кабеля; C – функция.
По наименьшему из двух значений IКЗ, определяют сопротивление реактора. Требуемое результиреющее сопротивление до точки КЗ для обеспечения условий IТРЕБКЗ = IНОМ.ОТ или IТРЕБКЗ = (qВЫБР·С)/Ö( tОТКЛ + Ta) определяется в относительных единицах по выражению:
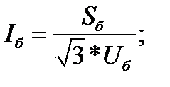
X*ТРЕБРЕЗ = IБ / IТРЕБКЗ , где

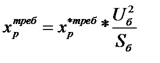
где X*РЕЗ – результирующее сопротивление до точки КЗ без реактора, затем переводят в именованные:
Найденное значение XР следует округлить до ближайшего большего сопротивления в соответствии с принятой заводами шкалой. При выборе реактора необходимо учитывать ток форсированного режима работы (если есть), причем должны соблюдаться условия IДОП > IРФ и XТРЕБР < XР.
Необходимо определить потерю напряжения, %, в реакторе в нормальном и утяжеленном режимах:
Для одинарных и сдвоенных реакторов:
где DU – потеря напряжения в реакторе при рабочем токе и фазовом угле j, отнесенная к среднему эксплуатационному напряжению 1,05UНОМ; kСВ = M/L – коэффициент связи сдвоенного реактора.
Потеря напряжения не должна превышает 2 %.
ПРОВЕРКА. Заводы – изготовители характеризуют электродинамическую стойкость реакторов номинальным током электродинамичаской стойкости (мгновенное значение полного тока) iДИН, соответствующим максимальному допустимому ударному току КЗ. При этом заводы указывают тип реактора и расположение фаз. При горизонтальной установке приводятся также минимальные расстояния м/у осями катушек. Термическую стойкость реакторов заводы – изготовители характеризуют номинальным током термической стойкости IТЕРМ (действующее значение синусоидального тока с постоянной амплитудой) и номинальной продолжительностью его действия tТЕР.
При проверке реактора на электродинамическую и термическую стойкость должны быть соблюдены неравенства:
iДИН³iУД и IТЕРМ2·tТЕР³ ВК = (IП(3))2·(tРЗ + tОТКЛ.В + Та).
Реактор, стойкий динамически, обычно обладает достаточной стойкостью и в термическом отношении.