Зависимость теплоёмкости от температуры
На практике отмечено, что теплоёмкость зависит от температуры.
Существует три вида зависимости теплоёмкости от температуры:
- не зависящая от температуры;
- линейно зависящая от температуры;
- нелинейно зависящая от температуры.
Теплоёмкость, не зависящая от температуры
Молекулярно – кинетическая теория теплоемкости, не учитывающая зависимости теплоемкости идеального газа от температуры, устанавливает значения киломольных теплоемкостей и k в зависимости от атомности газов.
Сv = R/(k-1); Ср = kR/(k-1).
Таблица теплоёмкостей не зависящих от температуры приведена в приложении 3.
При изложении материала этой темы допускалось, что теплоемкость есть величина постоянная. Такое упрощение допустимо в расчетах, не требующих большой точности, в особенности, если они касаются явлений, протекающих в области сравнительно невысоких температур и при небольших интервалах. В действительности же теоретическими исследованиями и опытом установлено, что лишь теплоемкости одноатомных идеальных газов являются величинами постоянными, не зависящими от температур и давлений. Что касается теплоемкостей остальных газов, то они существенно зависят от температуры, возрастая с ее увеличением, а теплоемкости паров зависят не только от температуры, но еще и от давления.
Поэтому для получения более достоверных значений газовых теплоемкостей необходимо рассматривать их как величины переменные, зависящие от температуры.
Истинной теплоёмкостью называется отношение элементарного количества теплоты, которое сообщается термодинамической системе в каком-либо процессе к бесконечно малой разнице температур.
Использование истинной теплоёмкости на практике затруднено, поэтому для практических расчетов обычно пользуются понятием средней теплоемкости.
Средней теплоемкостью в пределах температур от Т1 до Т2 называется средний расход тепла для повышения температуры на 1°С в этом интервале температур. Она обозначается буквой сm.
сm = Q/(t2 – t1).
Значения средних теплоемкостей обычно приводятся в таблицах в интервале от 0 до t°С.
Теплоёмкость, линейно зависящая от температуры
Этот вид теплоёмкости подчиняется уравнению примой линии.
с = с0 + аtср.
где с0 – теплоёмкость при 0°С;
tср. – средняя температура при нагревании тела от t1 до t2.
Таблица теплоёмкостей , линейно зависящая от температуры приведена в приложении 4.
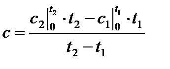
Теплоёмкость, нелинейно зависящая от температуры
Этот вид теплоёмкости применяется для наиболее точных термодинамических расчётов.
,
где
- средняя теплоёмкость при нагревании газа от 0 до t2.
- средняя теплоёмкость при нагревании газа от 0 до t1.
Таблица теплоёмкостей, нелинейно зависящая от температуры, приведена в приложении 5.
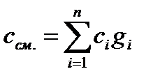
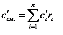
Для термодинамических расчётов часто приходится находить теплоёмкость газовых смесей. Для этого предлагается использовать следующие соотношения:

Массовая теплоёмкость газовой смеси равна сумме произведений массовых теплоёмкостей компонентов смеси на их массовую долю.

Объёмной теплоёмкость газовой смеси равна сумме произведений объёмных теплоёмкостей компонентов смеси на их объёмную долю.

Мольная теплоёмкость газовой смеси равна сумме произведений мольных теплоёмкостей компонентов смеси на их мольную долю.