А. Расчет повышенного графика для закрытых систем

балансовая нагрузка горячего водоснабжения :

(1)

где - балансовый коэффициент.

Суммарный перепад температур сетевой воды в верхней и нижней ступенях водоподогревателей d в течение всего отопительного периода постоянен и определяется по формуле:

(2)

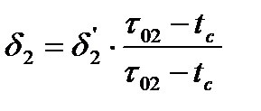
Перепад температуры сетевой воды в нижней ступени водоподогревателя d2 соответствующий температуре наружного воздуха для точки излома температурного графика tн', а так же для всего диапазона температур наружного воздуха от +8оС до tн' определяют по формуле:

(3)

для диапазона от tн' до tнро величину d2 определяют по формуле

(4)

где th - температура горячей воды поступающей из водоподогревателя в систему горячего водоснабжения, 0С;

tc - температура холодной водопроводной воды перед водоподогревателем нижней ступени, 0С;

th' - температура водопроводной воды после водоподогревателя нижней ступени, 0С, определяемая по формуле

(5)

- температура сетевой воды в обратной магистрали соответствующая точке излома температурного графика, 0С

- температура сетевой воды в обратной магистрали принимаемая по отопительному графику в соответствии с заданной температурой наружного воздуха tн, 0С;

Температуру сетевой воды по повышенному графику в обратной магистрали t2п определяют по формуле, 0С

(6)

Перепад температур сетевой воды в верхней ступени водоподогревателя d1 определяют по формуле, 0С

(7)

Температуру сетевой воды в подающей магистрали t1п определяют по формуле:

(8)


Дата добавления: 2015-04-01; просмотров: 77; Опубликованный материал нарушает авторские права?.