Основные формулы используемые при подборе калориферов.
5.1 Тепловой баланс: Q1= Q2, Вт
Где Q1- подводимое к изделию, Вт
· Для изделий с теплоносителем «вода» Q1=Gw∙ cw∙ (tw1- tw2) = Kw∙Fk∙Δt;
· Для изделий с теплоносителем «пар» Q1=Gп∙ rn= Ks∙Fk∙Δt;
Q2-тепло отводимое от изделия, Вт
Q2 = Gв∙св∙ (tв2– tв1);
tw1, tw2, tв1, tв2, ts– температуры воды и воздуха на входе и выходе соответственно и темпеатура пара, ͦС;
Gw, Gп, Gв– расход воды, пара и воздуха соответственно, кг/с;
cw, cв– теплоемкость воды и воздуха соответственно, Дж/(кг∙К);
rn– скрытая теплота парообразования, Дж/кг;
Кw, Кs– коэффициент теплопередачи водяного или парового изделия соответственно, Вт/ (м2∙К);
Fk– поверхность нагрева изделия, м2;
Δt– средний температурный напор, ͦС;
Теплофизические свойства теплоносителей принимаются по таблицам физических свойств воздуха, воды и пара при средней температуре (среднеарифметическое значение) среды.
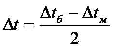
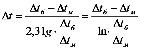
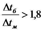
5.2 Средний температурный напор:
· Для теплоносителя «вода» при

при

· Для теплоносителя «пар» 
| tw ̓ |
| Δtм=tw ̓- |
| tw ̓ ̓ |
| ts |
| } Δtм=ts- |
| { |
| tB ̓ ̓ |
| } |
| tB ̓ |
| tв ̓ |
| Δtб=tw ̓ ̓- |
| tВ ̓̓ ̓ |
5.3 Коэффициент теплопередачи соответственно водяных и паровых изделий Кw, Кs Вт/(м2 ∙ °С) определяется по формулам:
для изделий ВНВ113-2...УЗ;

для изделий КСкЗ-...-02ХЛЗБ;ВНВ113-3...01УЗ;ВНВ123-3...01АТЗ

для изделий КСкЗ-6-50АУЗ ... КСкЗ-10-50АУЗ;ВНВ123-306-50АТЗ... ВНВ123-310-50АТЗ

для изделий КСкЗ-11-50АУЗ ... КСкЗ-12-50АУЗ; ВНВ123-31 1-50АТЗ, ВНВ123-312-50АТЗ

для изделий КСк4-...-02ХЛЗБ;ВНВ1 13-4. ..01УЗ; ВНВ123-4...01 АТЗ

для изделий КСк4-6-50АУЗ ... КСк4-10-50АУЗ;ВНВ123-406-50АТЗ... ВНВ123-410-50АТЗ

для изделий КСк4-11-50АУЗ ... КСк4-12-50АУЗ; ВНВ123-41 1-50АТЗ, ВНВ123-412-50АТЗ

для изделий ВНП113-2...УЗ

для изделий КПЗ. ..-Ск-01УЗ; ВНП113-3...01УЗ; ВНП123-3...01АТЗ;КПСкЗ...-50АУЗ;ВНП123-3...-50АТЗ

для изделий КП4...-Ск-01УЗ;ВНП113-4. ..01УЗ; ВНП123-4...01 АТЗ; КПСк4...-50АУЗ; ВНП123-4...-50АТЗ

где
массовая скорость воздуха в набегающем потоке (во фронтальном сечении), кг/(м2∙с);
ω – скорость теплоносителя в трубах, м/с;
L – длина теплоотдающего элемента, м (принимается по табл. 3,4,6,8 и 10).
5.4 Запас поверхности нагрева (мощности)
, %
Запас поверхности нагрева рекомендуется 15… 20%.
При получаемом большом или меньшем запасе рекомендуется принимать другой воздухонагреватель и произвести расчет вновь.
5.5 Аэродинамическое сопротивление, ΔPa, Па:
для изделий ВНВ113-2...01УЗ;ВНШ 13-2...УЗ

для изделий КСкЗ...-02ХЛЗБ; ВНВ113-3...(МУЗ; ВНВ123-3...01АТЗ; КПЗ...-Ск-01УЗ; ВНП113-3...(МУЗ; ВНП123-3...01АТЗ

для изделий КСкЗ...-50АУЗ; ВНВ123-3...-50АТЗ; ВНП123-3...-50АТЗ

для изделий КСк4-...-02ХЛЗБ; ВНВ113-4...01УЗ; ВНВ123-4...01 АТЗ; КП4...-Ск-01УЗ; ВНП113-4...01УЗ; ВНП123-4...01АТЗ

для изделий КСк4...-50АУЗ; ВНВ123-4...-50АТЗ; ВНП123-4...-50АТЗ

5.6 Гидравлическое сопротивление, ΔPω, Па:
, где
ρω – плотность воды, кг/м3;
ω – скорость воды, м/с;
Fw, Fn, Fк - площадь сечения соответственно одного хода, патрубка и коллектора (принимается по таблицам 1,2,5,7,9), м2;
D – внутренний диаметр теплоотдающей трубки, м;
L – длина теплообменного элемента (в свету), м.
6. Примеры подбора.
6.1 Подобрать калорифер марки КСк…-50А для нагрева Gв=12000 кг/ч воздуха от tв1 = минус 35С до tв2 = 25С. Теплоноситель – вода с температурами (температурный график) на входе tw1= 150 C и tw2 = 70 C на выходе из калорифера. Дополнительные физические величины (теплоемкость, плотность) принимаем по таблицам теплофизических свойств воды и воздуха при средних температурах.
Составляем уравнение теплового баланса по воздушной стороне и определяем тепловую мощность:
Вт
Рассчитываем расход воды:
кг/с
Принимаем массовую скорость воздуха в набегающем потоке (во фронтальном сечении) (vρ)н= 3,6 кг/(м2∙с) и по условию неразрывности определяем необходимую площадь фронтального сечения:
м2
Калориферов с такой площадью живого сечения нет (см. таблицу). Принимаем два калорифера КСк3-9-50А с помощью фронтального сечения
м2, живым сечением по воде
м2, поверхностью нагрева Fk=15,3 м2 и включаем их по воздуху параллельно.
Определяем массовую скорость воздуха:
кг/(м2∙с)
Определяем скорость воды в трубках (принимаем последовательное соединение калориферов).
м/с
Рассчитываем коэффициент теплопередачи:
Вт/(м2∙K).
Определяем температурный напор:

ͦС
Определяем тепловую мощность двух калориферов КСк3-9-50А
Вт ≈ 245 кВт
Запас поверхности нагрева составляет:

Уточняем расход воды:
кг/с
Аэродинамическое сопротивление калорифера
Па
6.2 Подобрать воздухонагреватель марки КПСк…-50А для нагрева Gв= 4000 м3/ч воздуха от tв1 = 10 С до tв2 = 70 С. Теплоноситель – сухой насыщенный пар давлением 10 кгс/см2. Воздухонагреватель работает без переохлаждения конденсата.
Дополнительные физические величины (теплоемкость и плотность воды, температура пара и скрытая теплота парообразования) принимаем по таблицам теплофизических свойств воздуха и сухого насыщенного пара средних температур.
Составляем уравнение теплового баланса по воздушной стороне и определяем тепловую мощность:
Вт
Рассчитываем расход пара:
м2
Принимаем массовую скорость воздуха в набегающем потоке (во фронтальном сечении) (vρ)н= 3,6 кг/(м2∙с) и по условию неразрывности определяем необходимую площадь фронтального сечения:
м2
Принимаем воздухонагреватель КПСк38-50А с площадью фронтального сечения
м2, длиной теплоотдающего элемента L=0,780 м. (см. таблицы).
Определяем массовую скорость воздуха:
кг/(м2∙с)
Рассчитываем коэффициент теплопередачи:
Вт/(м2∙К)
Определяем температурный напор:

Определяем тепловую мощность воздухонагревателя:
Вт ≈ 35,3 кВт
Запас поверхности нагрева составит:
%
Уточняем расход пара:
кг/с
Аэродинамическое сопротивление:
Па
9. Подбор пылеочистного оборудования.
9.1 Подбор фильтра.
, шт.
где
n – количество фильтров, [шт.]
L – объем перемещаемого воздуха, 
g – удельная нагрузка фильтрующей поверхности фильтра, 
9.2 Подбор пылеуловителя.
, [%]
где
ε – коэффициент очистки воздуха (эффективность очистки), [%]
k1 и k2 – начальная и конечная концентрации пыли соответственно. 
Пример задач.
Задача №1 (подбор фильтра).
Определить необходимое количество устанавливаемых ячейковых масляных фильтров для приточной камеры,
если объем перемещаемого воздуха L=18000
.
Принять удельную нагрузку фильтрующей поверхности фильтра g = 6000
.
[шт.]
Ответ: Необходимо установить 3 ячейковых масляных фильтра.
Задача №2 (подбор пылеуловителя).
Определить коэффициент очистки воздуха, удаляемого системой аспирации от шлифовальных кругов, если концентрация пыли в воздухе системы k1= 600 мг/м3.
Допускаемая концентрация пыли в наружном воздухе не должна превышать k2= 60 мг/м3/
[%]
Ответ: Коэффициент очистки воздуха ε = 90%.
Приложение 1.
Выделение тепла, влаги и углекислого газа одним человеком.
| Условия выделения вредностей | gco2
| Температура внутреннего воздуха, ͦС | |||||||||||
| gя | g | gвл | gя | g | gвл | gя | g | gвл | gя | g | gвл | ||
| Физическая работа средней тяжести | |||||||||||||
| То же легкая | |||||||||||||
| Работа умственная (учреждения, вузы и пр.) | |||||||||||||
| Покой (театры, кино и пр.) |
Примечание:
1. gя- тепло явное, [Вт]; g – тепло полное, [Вт]; gвл- влаговыделение, [г/час]; gco2 – выделение CO2, [г/час].
2. Полное тепловыделение одинаково при 25 и 30 ͦС.
3. Характеристика выполняемой работы: в зрительных залах – покой; в читательных залах, классах школ – умственная работа; в обеденных залах (посетитель) – легкая физическая работа, обслуживающий персонал – физическая работа средней тяжести.
Приложение 2.
Допустимое содержание CO2, [г/кг]
| Помещения | Содержание CO2 | |
| Внутренний воздух | Места постоянного пребывания людей (жилые комнаты, школы) | 1,5 |
| Больницы и детские комнаты | 1,0 | |
| Места периодического пребывания людей | 1,9 | |
| Места кратковременного пребывания людей (залы кинотеатров, клубов) | 3,0 | |
| Наружный воздух (город) | Малый | 0,6 |
| Большой | 0,75 |