Анализ движения трудовых ресурсов

 

От движения и стабильности кадров во многом зависит уровень квалификации и оплата персонала, стабильность хозяйственных процессов, что влияет в свою очередь на результат деятельности организации.

Рассматривая движение рабочей силы, следует иметь в виду, что частая смена работников сдерживает рост производительности труда.

В кадровой политике выделяют увольнения:

1) желательные для организации (перевод по службе, замена, сокращение);

2) не желательные для организации ( увольнение нужных работников по собственному желанию, уход на пенсию, уход до окончания срока контракта).

Для снижения текучести кадров должны быть рассмотрены соответствующие предложения:

– совершенствование условий оплаты труда;

– улучшение социальной сферы;

– внедрить систему стабилизации кадров;

– всех уходящих по собственному желанию увольнять только после рассмотрения возможных компромиссов;

– активизировать работу с учащимися ВУЗов специальных учебных заведений по привлечению на работу.

В процессе анализа рассчитывают коэффициенты, которые позволяют сравнить интенсивность движения кадров. Этими коэффициентами являются:

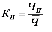
1) Коэффициент оборота по приему работников (5.3):

 

, (5.3)

где ЧП – число принятых за данный период;

– среднесписочная численность работников.

 

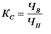
2) Коэффициент оборота по выбытию (5.4):

 

, (5.4)

где ЧВ – число выбывших по всем причинам.

 

3) Коэффициент сменяемости работников (5.5):

 

, (5.5)

 

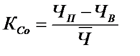
4) Коэффициент суммарного оборота рабочей силы:

 

, (5.6)

 

5) Коэффициент текучести рабочей силы:

 

, (5.7)

 

где Чу.с.ж. – число работников, уволенных по собственному желанию;

Чу.н.т. – число работников, уволенных за прогулы и нарушение трудовой дисциплины.

 

6) Коэффициент стабильности:

 

, (5.8)

 

7) Коэффициент сменности работников:

 

, (5.9)

 

где Чмакс. – максимальное число работников.

 

Данные коэффициенты можно исчислять не только в целом по торговой организации, но и по профессиональным специальностям и структурным подразделениям.

После расчета указанных коэффициентов анализируют причины их резких колебаний в динамике, что позволяет разработать конкретные мероприятия по ликвидации и негативных последствий.