Билиненйая и мультилинейная модели с изотропным (механическим) упрочнением
Эти модели используют критерий текучести по фон Мизесу, ассоциированный закон текучести и изотропное (механическое) упрочнение.
Эквивалентные напряжения (4.4) записываются как:
, (4.18)
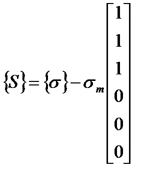
где {S} – девиаторные напряжения,
,
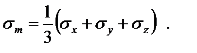
в котором σm- величина гидростатического давления, равная:

Заметим, что формула (4.17) эквивалентна (2.79) и получается из неё с помощью элементарных преобразований.
В случае, если эквивалентные напряжения σeравны текущему значению предела текучести σk, критерий текучести можно записать в следующем виде:
. (4.19)
Для механического упрочнения текущее значение предела текучести σk является функцией от величины совершенной пластической работы. В случае изотропной пластичности (о которой сейчас и идёт речь) σk может быть определен через эквивалентные пластические деформации (4.17) и графика напряжений-деформаций (рисунок 4.4).

Рисунок 4.4 - Определение текущего значения предела текучести σk
(Билиненйая и мультилинейная модели с изотропным (механическим) упрочнением)