Имитационная статистическая постановка задачи
Главное отличие имитационных моделей от аналитических, которые мы рассмотрели выше, состоит в том, что имитационную модель можно постепенно усложнять, при этом результативность модели не падает.
Усложним задачу 1, введя в неё дополнительное условие. Представим, что на пути первого и/или второго объекта встретится помеха — пусть это будет участок железной дороги со шлагбаумом, который работает по случайному закону. Если шлагбаум открыт, то объект может переходить железную дорогу, в противном случае он не имеет права этого делать.
Промоделировать случайную работу шлагбаума можно с помощью генератора случайных чисел (ГСЧ). В различные моменты времени ГСЧ будет выдавать случайное число r = 0 или r = 1, это будет означать, что шлагбаум закрыт или, соответственно, открыт (см. рис. 1.22).
| |
| Рис. 1.22. Вид функции случайных помех (к задаче о встрече) |
Частоту открывания шлагбаума можно контролировать, увеличивая или, наоборот, уменьшая число q, пересчитав случайное число r в z по формуле: z := ed(q – r).
На рис. 1.23 дана иллюстрация усложнённой задачи 1.
| |
| Рис. 1.23. Иллюстрация к усложнённой задаче о встрече |
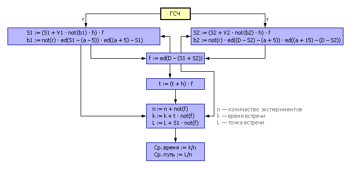
На рис. 1.24 представлена алгоритмическая схема задачи.
| |
| Рис. 1.24. Схема решения задачи о встрече (имитационный статистический способ) |
Условия b1 и b2 контролируют, находится ли первый и/или второй объект менее чем за 5 метров от шлагбаума, когда тот закрыт. b1 = 1 (b2 = 1) — это условие «не двигаться», если объект находится в зоне шлагбаума и шлагбаум закрыт; a — место нахождения шлагбаума, расстояние до шлагбаума от нуля; f — флаг встречи. Если f = 0, то встреча произошла и моделирование начинается снова с t = 0, S1 = 0, S2 = 0, а к статистическим счётчикам необходимо прибавить итоги эксперимента — номер эксперимента, время встречи, место встречи.
Поскольку алгоритм использует случайные числа в качестве исходных данных, придётся сделать несколько экспериментов и найти средние значения выходных величин. Результат одного эксперимента случаен и ни о чем не говорит. Среднее значение более информативно. Ещё более информативны сведения о первом и втором моменте — среднем и разбросе значений вокруг него (дисперсии) и так далее.