Оценка параметров системы цикловой синхронизации
Оценку основных параметров систем цикловой синхронизации для наглядности проведем применительно к неадаптивному приемнику синхросигнала.
Система цикловой синхронизации может находиться в одном из следующих состояний:
1) система находится в синхронизме и режиме захвата (основное со
стояние);
2) система находится в состоянии синхронизма, но в режиме поиска;
3) система вне синхронизма, но в режиме захвата (ложный синхро
низм);
4) система вне синхронизма и в режиме поиска;
5) система в синхронизме и в режиме контроля;
6) система вне синхронизации, но в режиме контроля.
Рассмотрим параметры, характеризующие процесс перехода системы
из основного режима в режим поиска. Будем считать, что система переходит в режим поиска в том случае, если при v последовательных опробований не подтверждается наличие циклового синхросигнала на контролируемых позициях цикла. Значение v фактически определяет емкость накопителя по выходу из синхронизма. Поскольку точный момент выхода системы из синхронизма является случайным, то можно считать, что в среднем он возникает в середине цикла. Тогда минимальное время обнаружения выхода из синхронизма
- длительность одного цикла.
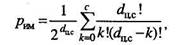
Если цикловой синхросигнал состоит из da.c, символов и при каждом опробовании допускается искажение не более с символов синхросигнала (при этом он считается правильно принятым), то вероятность имитации рии синхросигнала, т.е. возникновения ложной синхрогруппы, будет складываться из вероятностей полной имитации, имитации с искаженными одним, двумя и, наконец, с символами. В этом случае вероятность имитации синхросигнала равна

а вероятность обнаружения выхода из синхронизма
(5.4) Обычно с = 0, и выражения (5.3) и (5.4) принимают вид

Результаты расчетов величины
(для с — О) приведены в табл. 5.1.
Таблица 5.1
| Число симво- | Вероятность обна- | Число оп- | Время обнаружения |
| лов в синхро- | ружения выхода из | робываний, | выхода из синхронизма, |
| сигнале, dac | синхронизма, /7о6я | И | •вых |
| 0,5 | |||
| 0,75 | |||
| 0,825 | |||
| 0,9375 | |||
| 0,9688 | |||
| 0,9844 |
Однако для обнаружения выхода из синхронизма, как правило, требуется произвести
опробований, причем
Ожидаемое значение
можно получить из соотношения
(5.5)
Число опробований (X, необходимых для обнаружения выхода из синхронизма (округленное до ближайшего целого), приведено в табл. 5.1 (для v= 3).
Если зафиксировать отношение а= da,c ID (D - общее число символов в цикле передачи), например, взять а= 0,01, то, используя данные табл. 5.1, можно найти зависимость времени обнаружения выхода из синхронизма *вых, выраженного в количестве временных тактовых интервалов, от длины циклового синхросигнала. Результаты соотвествующих расчетов приведены в табл. 5.1.
Выбор структуры синхросигнала.Анализ результатов свидетельствует о том, что существует оптимальная длина циклового синхросигнала, при которой обеспечивается минимальное время обнаружения выхода из синхронизма. При этом с точки зрения обеспечения минимального среднего времени обнаружения выхода из синхронизма наилучшими являются короткие цикловые синхросигналы, а для достижения высокой вероятности обнаружения (свыше 90%) предпочтительными выглядят более длинные синхросигналы.
Определение оптимальной структуры синхросигнала заключается в выборе такой комбинации символов, которая при фиксированной длительности цикла обеспечивает минимальное время поиска. При равной вероятности формирования 1 и 0 в групповом ИКМ сигнале вероятность формирования кодовых групп любой структуры одинакова, а следовательно одинаково их среднее число в рассматриваемом отрезке группового сигнала. Однако среднее время поиска синхросигнала при использовании в качестве синхронизирующих кодовых групп различной структуры весьма различно.
Поэтому при выборе структуры синхросигнала необходимо оценить суммарное время его поиска:

гд<
- среднее время поиска синхросигнала в зоне случайно-
го сигнала, включающего в себя
импульсных позиций в цикле, на
которых кодовые группы длиной
символов формируется без участия символов синхросигнала;
- среднее время поиска синхросигнала, включающего в себя
- 1 импульсных позиций, на которых кодовые группы длиной
формируются с использованием хотя бы одного символа синхросигнала.
Поскольку кодовые группы различной структуры группируются в случайном цифровом потоке по-разному, то в зависимости от структуры синхросигнала будет изменяться время его поиска в каждой из указанных зон.
В результате многочисленных исследований было предложено несколько групп импульсных последовательностей определенной структуры, рекомендованных к использованию в качестве синхросигнала. Один из методов анализа различных кодовых групп основан на понятии критических точек.
В соответствии с этим понятием кодовая группа длиной duc символов имеет критические точки после тех первых i символов, которые оказываются идентичными последним j символам. Тогда наименьшее число критических точек в кодовых группах - одна (например, в группе 0111...1 -на последнем символе), а наибольшее -
(в кодовой группе 111... 1 - на каждом символе). Кодовая группа вида 0101...01 имеет в своем составе dnc /2 критических точек на всех символах.
Сравним среднее время поиска синхросигнала при использовании в качестве синхрогрупп с одной и
критическими точками. Среднее время поиска синхросигнала в зоне случайного сигнала определяется выражением
|
где а - число информационных символов в цикле; Ь - число символов от начала кодовой комбинации до i-й критической точки; к - число критических точек; Гц - период следования циклов.
Тогда при использовании кодовых групп с одной критической точкой

том случае, когда поиск ведется в зоне самого синхросигнала и в качестве синхрогрупп выбраны кодовые группы с одной критической точкой, вероятность формирования ложного синхросигнала равна нулю, а время поиска синхросигнала в этой зоне равно ее длительности, т.е.

Для кодовых групп с
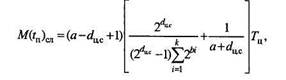
критическими точками среднее время поиска в зоне синхросигнала можно определить по формуле

а при кодовых группах с критическими точками
|
|
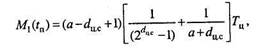
Тогда общее время поиска синхросигнала при использовании в качестве синхрогруппы кодовых комбинаций с одной критической точкой составит

Рассмотрим в качестве примера цикл вторичной ЦСП, имеющий следующие параметры: число информационных символов в цикле а = 1048,
число синхросимволов duc = 8, Гц = 125 мкс. В этом случае Af,(fn) = (1041/255 + 1055/1056) 125 = 625 мкс, M2(tn) = (1041/2-255 + 1055/1056 + 3,2) 125 = 775 мкс,
т. е. применение в качестве синхрогрупп кодовых комбинаций с одной критической точкой обеспечивает меньшее время восстановления синхронизма. При более длинных циклах кодовые группы, имеющие в своем составе dux критических точек, оказываются более эффективными.
На рис. 5.24 показаны зависимости среднего времени поиска синхросигнала Мп (выраженного числом циклов) от длительности цикла Гц (выраженного числом импульсных позиций в цикле D) при использовании в качестве синхросигнала кодовых групп с одной (сплошные линии) и dUJ. (штриховые линии) критическими точками. Представленные зависимости можно использовать различным образом:
- при заданных значениях среднего времени поиска M(tn) и длительно
сти цикла Гц определяются параметры синхросигнала (его длительность и
число критических точек);
- при заданных Гц и параметрах синхросигнала оценивается среднее
время поиска M(tn);
- при заданных параметрах синхросигнала и M(fn) определяется длина
цикла.
|
| 500 ЮОО 1500 2000 Рис. 5.24. Зависимость среднего времени поиска синхросигнала от длины цикла |
Как видно из рис. 5.24, среднее время поиска синхросигнала M(tn) можно сократить, если увеличить длительность цикла передачи при одновременном увеличении длины синхросигнала. Это можно объяснить тем, что при линейном увеличении Гц и dn.c среднее время поиска синхросигнала уменьшает
Однако следует иметь в виду, что чрезмерное увеличение числа информационных и синхронизирующих импульсов в цикле приводит, как правило, к ухудшению некоторых других параметров ЦСП (в частности, увеличивается объем памяти, усложняется ГО, увеличиваются фазовые дрожания и т. п.). Это является одной из причин уменьшения длительности цикла в ЦСП высших порядков (например, для первичной ЦСП потока Е1 Гц = 125 мкс, а для четверичной ЦСП потока Е4 Гц = 15,625 мкс).
Выбор коэффициентов накопления в приемниках синхросигнала.Основные параметры цикловой синхронизации во многом зависят от емкости накопителей по выходу и входу в синхронизм, которые, по сути дела, являются решающими устройствами, вырабатывающими информацию о наличии или отсутствии состояния синхронизма. В соответствии с этой информацией в неадаптивных приемниках синхросигнала осуществляется переход от режима поиска синхронизма к режиму его удержания и от режима удержания к режиму поиска. В адаптивных приемниках синхросигнала реализуется переход от режима удержания прежнего состояния синхронизма к режиму удержания его нового состояния (поиск синхронизма производится параллельно в дополнительной цепи). Рассмотрим требования, предъявляемые к каждому из этих накопителей.
В неадаптивных приемниках решение о переходе от режима удержания к режиму поиска принимается при отсутствии синхросигнала на анализируемых позициях. Уменьшение вероятности ошибочного решения о потере синхронизма связано с увеличением коэффициента накопления г накопителя по выходу из синхронизма. Однако с увеличением этого коэффициента возрастает и среднее время восстановления синхронизма, поскольку процессу поиска синхросигнала при потере синхронизма должно предшествовать его отсутствие на г подряд следующих анализируемых позициях. Поэтому расчет накопителя по выходу из синхронизма заключается в определении минимального значения коэффициента накопления г, при котором можно практически не считаться с вероятностью ложного сбоя синхронизации. При этом необходимо выполнение двух условий:
1) вероятность искажения символов р„ из-за сбоев синхронизации, вызванных искажениями синхросигнала, должна быть на два - три порядка меньше вероятности искажения символов из-за воздействия помех , т. е.
|
(5.7)
где M(tya)n - среднее время между двумя сбоями синхронизации, вызванными воздействием помех (т. е. время удержания синхронизма);
2) вероятность того, что время восстановления синхронизма в ЦСП более высокого уровня превысит время накопления накопителем по выходу из синхронизма в ЦСП более низкого уровня, должна составлять 10"2... 10~3. <
Сбой синхронизации из-за воздействия помех происходит после г следующих подряд искажений синхросигнала. При этом среднее время между двумя соседними сбоями определяется выражением, характеризующим среднее время достижения первого успеха, заключающегося в формировании г импульсов подряд на входе накопителя по выходу из синхронизма. Каждому импульсу соответствует прием искаженного синхросигнала с вероятностью рис. Для этого случая
|
(5.8)
где pnc=l-(l-pjd*<.
Поскольку M(tB) I [M(tB) + M(tyJ,)n] = M(tB) I M(tB), а также с учетом того, что при/7и « 1. рис = dwpK< из (5.7) получим

где А \х\ - округленное до большего целого значения х. Так, при Тц I M(tB) < < 5-1(Г2 и duc = 8 получаем гх = 3.
Для выполнения второго условия необходимо по интегральной функции распределения времени восстановления синхронизма в ЦСП и-го порядка определить такое значение времени восстановления синхронизма гв(п), вероятность превышения которого составляет 1(Г2...1(Г3. Для этого
случая
|
(5.9)
где Гц'" 1} - следования синхросигнала в ЦСП (и - 1)-го порядка.
Как правило, для выполнения условия (5.9) требуется большее значение коэффициента накопления, чем для реализации условия (5.7). Обычно г1 = 4...6.
При использовании адаптивного приемника синхросигнала условие (5.7) имеет еще меньшее значение, поскольку сбой синхронизации из-за воздействия помех происходит в данном случае после г{ следующих подряд искажений синхросигнала и формирования к этому моменту гг ложных синхрогрупп.
Среднее время удлинения процесса восстановления синхронизма за счет включения накопителя по выходу из синхронизма определяется выражением, аналогичным (5.8) и отличающимся тем, что появление 1 на входе накопителя происходит при отсутствии ложного синхронизма, вероятность чего равна 1—
Тогда
|
(5.10)
Обычно цикловой синхросигнал не защищается от искажений, поэтому искажение любого его символа равносильно полному искажению всего сигнала.
Решение о переходе от режима поиска синхронизма к режиму его удержания принимается только после r-i следующих подряд повторений синхросигнала на анализируемых позициях, после чего по сигналу из накопителя по входу в синхронизм накопитель по выходу из синхронизма переходит в нулевое состояние. С уменьшением коэффициента накопления по входу в синхронизм возрастает вероятность перехода в режим удержания состояния ложного синхронизма. В то же время с увеличением коэффициента накопления возрастает вероятность того, что после обнаружения состояния синхронизма первое же искажение синхросигнала вызовет начало процесса поиска синхронизма. Поэтому выбор коэффициента накопления по входу в синхронизм заключается в минимизации времени восстановления синхронизма.
Обычно коэффициент накопления по входу в синхронизм выбирается равным 2...3. При таком коэффициенте обеспечиваются достаточно малые вероятности как повторного поиска состояния синхронизма, так и ложной фиксации состояния синхронизма.
Вопросы для самоконтроля
1. Назовите основные виды синхронизации в ЦСП ИКМ-ВРК и их назначение.
2. Основные требования, предъявляемые к системам синхронизации, и их фи
зическая сущность.
3. Способы организации тактовой синхронизации.
4. Сущность пассивной фильтрации тактовой частоты.
5. Сущность активной фильтрации тактовой частоты.
6. Структурная схема выделителя тактовой частоты и временные диаграммы
его работы.
7. Фазовые дрожания, причины их возникновения, их оценка и влияние на ка
чество передачи различных сообщений.
8.
Проскальзывания, причины их возникновения и влияние на качество пере
дачи различных сообщений.
9. Принципы нормирования количества проскальзываний.
10. Необходимость тактовой сетевой синхронизации.
11. Принципы построения тактовой синхронизации.
12. Требования к источникам сигналов тактовой синхронизации, их классифи
кация.
13. Обобщенная схема передачи сигналов тактовой синхронизации в сети син
хронной цифровой иерархии.
14. Причины нарушения цикловой синхронизации оконечных станций ЦСП
ИКМ-ВРК и их влияние на качество передачи различных сообщений.
15. Основные блоки системы цикловой синхронизации и требования к ним.
16. Синхросигналы цикловой синхронизации (ЦС) и их основные параметры.
17. Классификация синхросигналов ЦС и способы их передачи.
18. Основные характеристики приемников синхросигналов ЦС и их классифи
кация.
19. Алгоритм функционирования приемника синхросигнала ЦС с задержкой
контроля и одноразрядным сдвигом.
20. Алгоритм функционирования приемника синхросигнала ЦС со скользя
щим поиском и одноразрядным сдвигом.
21. Алгоритм функционирования неадаптивного приемника синхросигнала ЦС.
22. Алгоритм функционирования адаптивного к вероятности ошибки прием
ника синхросигнала ЦС.
23. Алгоритм функционирования полностью адаптивного приемника синхро
сигнала ЦС.
24. Основные принципы определения структуры синхросигнала ЦС.
25. Основные принципы определения емкости накопителей по выходу из син
хронизма и по входу в синхронизм приемника синхросигнала ЦС.
критическими точками