МЕТОДЫ ПРИНЯТИЯ РЕШЕНИЙ ПРИ УПРАВЛЕНИИ ПРОИЗВОДСТВОМ
3.1 Виды и классификация методов принятия решений при управлении производством
Процесс принятия решения - это выбор варианта решения из нескольких возможных. Он складывается из характерных этапов (рис. 3.1) и носит, как отмечалось ранее, итеративный характер. При принятии решений используются определенные методы. Методы принятия решений классифицируются в зависимости от способа принятия решения, имеющейся информации, применяемого аппарата (рис. 3.2).
1. В зависимости от способа принятия решений они подразделяются на стандартные и нестандартные.
Стандартные решения применяются в часто повторяющихся производственных ситуациях. Они содержатся в законах, стандартах, правилах, нормативах и другой действующей документации,' опыте других специалистов и организаций. Например, при тормозном пути больше допустимого (правила дорожного движения) автомобиль не допускается к эксплуатации; после определенного пробега автомобиль направляется на соответствующий вид ТО (Положение о ТО и Р) и др.
В инженерно-технической службе 80-85% всех решений (у инженера АТП - 80-83%, у главного инженера - 45-55%) приходится на подобные повторяющиеся производственные ситуации. Решения при этом принимаются по следующей схеме: анализ рыночной или производственной ситуации → ее идентификация с одной из стандартных → принятие решения по правилам или аналогии со стандартным: Знание и использование стандартных правил свидетельствуют не об отсутствии творческой инициативы, а о высокой квалификации инженерно-управленческого персонала.
Это, во-первых, сокращает время на принятие решения, разработку и реализацию соответствующих мероприятий; во-вторых, уменьшает вероятность принятия ошибочных решений; в-третьих, у специалиста высвобождается время для принятия решений в нестандартных, новых или сложных производственных и рыночных ситуациях, требующих сбора информации, ее анализа, расчетов, объединяемых понятием «исследование операций».
К операциям относятся как отдельные мероприятия, проводимые для повышения эффективности системы, так и сложные программы, касающиеся достижения цели, стоящей перед системой в целом. Каждая операция (мероприятие, программа) оценивается ее эффективностью, т.е. вкладом, который обеспечивается при ее выполнении. В общем случае показатель эффективности или целевая функция может зависеть от трех групп факторов (или подсистем).

Рис. 3.1 Блок-схема процесса принятия решения
Рис. 3.2 Классификация методов принятия решений
Первая группа факторов характеризует условия выполнения операции, которые заданы и не могут быть изменены в ходе ее выполнения. Для конкретного АТП это: климатические условия района расположения предприятия, влияющие на надежность парка; дорожные условия обслуживаемого региона, влияющие на надежность и производительность автомобилей и др.
Вторая группа, которая иногда называется элементами решения, может меняться при управлении, влияя на целевую функцию. Эти факторы выбираются из дерева систем ТЭА. Примеры второй группы факторов: качество ТО и ТР, квалификация персонала, уровни механизации и др.
Третья группа - заранее неизвестные условия, влияние которых на эффективность системы неизвестно или изучено недостаточно. Например, конкретные погодные условия "на завтра"; число требований на ТР в течение следующей смены, определяющее простой автомобилей в ремонте, загрузку постов и персонала; психофизиологическое состояние водителя, влияющее на безопасность движения и эксплуатационную надежность автомобиля и др.
При рациональном управлении значение целевой функции улучшается, а при оптимальном — становится наилучшим (минимальным или максимальным).
Первая и третья группыфакторов иногда условно объединяются общим понятием "природа", которое характеризует все внешние для системы условия, влияющие на исход операции, мероприятия, программы.
2. В зависимости от объема и характера имеющейся информации решения подразделяются на: принимаемые в условиях определенности; при наличии риска; в условиях неопределенности.
В условиях определенности состояние природы известно, т.е. третья группа факторов отсутствует или может приниматься постоянной, превращаясь в первую группу.
Когда действуют все три группы факторов, задача выбора решения формулируется следующим образом: при заданных условиях с учетом действия неизвестных факторов требуется найти элементы решения, которые по возможности обеспечивали бы получение экстремального значения целевой функции.
Если может быть определена или оценена вероятность появления тех или иных состояний "природы" (факторов третьей группы), то решение принимается в условиях риска.
Если вероятность состояния "природы" неизвестна, то задача решается в условиях неопределенности.
3. В зависимости от аппарата принятия решений используются:
1) алгоритмический подход (законы, правила, нормативы, формулы);
2) коллективное мнение специалистов (экспертиза);
3) расчетно-аналитические методы для процессов, описываемых аналитически (исследование функций на минимум и максимум, программирование, теория массового обслуживания и др.);
4) моделирование процессов;
5) натурный эксперимент или наблюдение.
3.2. Принятие решений в условия определенности
В условиях определенности состояние "природы" в целевой функции, т.е. внешние условия, полностью известны.
В условиях определенности при принятии решения возможны два подхода.
В стандартных ситуациях целевая функция в каждом конкретном случае не строится (предполагается, что она была построена при разработке соответствующих правил и нормативов), а решение принимается в соответствии с разработанными правилами по схеме: идентификация ситуации с одной из стандартных; выбор стандартных условий, соответствующих ситуации; принятие решения на основе стандартных правил.
Если производственная ситуация нестандартна, т.е. ей нет аналогов в совокупности стандартных решений (или они неизвестны лицам, принимающим решение), то для условий определенности задача принятия решения формулируется следующим образом. Как определить элементы решения (хт), обеспечивающие при заданных условиях (ап) получение экстремального (Umin минимального или Umax максимального) значения целевой функции? В условиях определенности оптимальное значение целевой функции может быть получено графически или аналитически (дифференцированием функции, методами множителей Лагранжа, программированием, моделированием и другими методами).
Пример №1. В АТП необходимо построить цилиндрический резервуар заданной емкости для хранения масла с минимальным расходом листового материала. Очевидно, что целевая функция - площадь (расход) материала

где г - радиус резервуара и 1 - длина резервуара - это элементы решения хт; V -объем - внешние, заданные условия ап.
Последовательность решения
1) Выражаем один элемент решения через другой:
объем резервуара 
2) Подставляем значение 1 в целевую функцию 
3)
Определяем условия минимизации целевой функции:
а)
б)
в) подставляем значение
и получаем 
Откуда 2r = l или r = 0,5l, т.е. при таком соотношении радиуса (r) и длины (l) и любом объеме (V) цилиндрического резервуара расход материала всегда будет минимальным (F = Umin). Таким образом, получено стандартное решение, которым затем можно пользоваться уже без дополнительных расчетов.
Абсолютный минимальный расход материала при равном объеме может быть получен при шаровом резервуаре. Однако затраты на его изготовление будут большими, чем у цилиндрического.
Пример №2. С целью экономии расхода энергии на отопление производственного помещения предлагается усилить его теплоизоляцию, что увеличит затраты на саму теплоизоляцию.
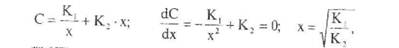
Необходимо определить оптимальную толщину теплоизоляции х. Целевая функция в данном случае включает в себя затраты на отопление Ст и затраты на теплоизоляцию Си:
U = С = Ст + Си.
Очевидно, затраты на отопление обратно пропорциональны толщине изоляционного слоя, т.е. Ст = К1/х.
где К1 - коэффициент удельных затрат х на единицу потери тепла.
Затраты на изоляцию пропорциональны толщине теплоизоляционного слоя х, т.е. Си= К2х, где К2 - коэффициент удельных затрат на теплоизоляцию, представляющий собой стоимость единицы толщины (например. 1 см) теплоизоляционного слоя. Целевая функция затрат

то есть чем дороже топливо и дешевле стоимость теплоизоляции, тем больше может быть толщина теплоизоляционного слоя и наоборот.
3.3. Методы принятия решений в условиях дефицита информации
Как правило, при принятии инженерных, управленческих и других решений полная, информация о состоянии системы, внешних условиях и последствиях принимаемых решений отсутствует.
Американские специалисты утверждают, что 80% решений принимается при наличии только 20% информации об управляемой, системе.
Например, принимая решение о числе постов на станции технического обслуживания, можно только предполагать о потенциальном числе клиентов и их распределении по часам суток, дням недели, месяцам года и т.п.
Аналогичная ситуация с числом возможных требований на конкретный вид ремонта автомобиля в течение "завтрашнего дня", возможности выхода или невыхода на работу конкретного специалиста или рабочего и т.д. Строго говоря, полную информацию можно получить только после свершения того или иного события (например, отказы уже произошли), когда необходимость в упреждающем решении отпала, а система перешла в режим реактивного управления.
Поэтому при управлении необходимо уметь теми или иными способами восполнить или компенсировать дефицит информации.
Такими способами укрупненно являются:
1) Сбор дополнительной информации и ее анализ. Очевидно, это возможно, если система располагает определенным резервом времени и средств.
2) Использование опыта аналогичных предприятий или решений. При этом важно располагать банком решений или иметь надежный доступ к нему. Кроме того, опыт других не может быть использован без корректирования.
3) Использование коллективного мнения специалистов или экспертизы.
4) Применение специальных инструментальных методов и критериев, основанных на теории игр.
5) Использование имитационного моделирования, которое воспроизводит производственные ситуации, близкие к реальным, и ряд других методов.