Статистическая оценка качества и конкурентоспособности товаров.
Статистическая оценка качества продукции относится к числу наиболее сложных проблем в прикладной статистике. Это обусловлено многообразием параметров качества; наличием параметров, не поддающихся количественному выражению, временным разрывом между созданием продукции и проявлением ее качества при потреблении. Следовательно, статистика качества товаров опирается на разнообразные методы анализа, такие как: оценка качества на основе ограниченного числа наиболее важных потребительских параметров, обобщенная характеристика качества по совокупности всех параметров качества и всего ассортимента товаров, оценка взаимосвязи производственного и потребительского качества и т. Д.
Измерение уровня качества по конкретным ее параметрам предполагает построение параметрических индексов (коэффициентов) качества. Жесткие параметрические индексы рассчитываются применительно к объективным технико-экономическим показателям (производительность, точность, прочность и т. д.) и основаны на отношении фактического значения данного параметра качества к его нормативной (стандартной) величине. Мягкие параметрические индексы отражают уровень качества по эстетическим (дизайн, эргономика) и психологическим (привлекательность, престижность, и т. Д.) свойствам товара и предполагают сравнение с эталонными величинами, определяемыми экспертным путем и опросами. В случае невозможности прямой количественной оценки параметров качества обычно используются балльные оценки.
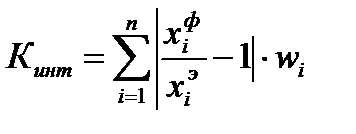
Одновременный учет многих параметров качества возможен на основе применения различных методических подходов, из которых наиболее простым представляется метод относительных (в долях единицы) отклонений фактических значений параметров качества от эталонных (нормативных) с учетом значимости конкретных параметров качества:
,
где
,
– фактическое и эталонное значения i-го параметра качества; wi – значимость (удельный вес) i-го параметра качества; n – число параметров качества.
Преимущества этого подхода состоят в том, что он позволяет выделить в общей интегральной оценке качества роль положительных и отрицательных отклонений и при необходимости оценить лишь отрицательные отклонения, связанные с тем, что какие-либо параметры не достигли своих эталонных значений. Важно и то, что относительная форма выражения позволяет суммировать отклонения по различным параметрам качества независимо от единиц измерения.
Особенностями двух других методических приемов обобщенной характеристики уровня качества, приводимых ниже, являются учет совместного влияния положительных и отрицательных изменений, нивелирующих друг друга, и определение конечного результата уровня качества товара по множеству его параметров. Для подобной оценки применяются средние величины, отражающие типичный уровень изучаемого явления: средняя геометрическая и средняя арифметическая взвешенная.
Расчет средней геометрической осуществляется по формуле
, где
.
Расчет средней арифметической взвешенной производится по формуле
.
Экономико-статистическое изучение взаимосвязи производственного и потребительского качества продукции осуществляется на основе построения соответствующей модели методами корреляционно-регрессионного анализа и определения количественных параметров этой модели:

где у – параметр качества, проявляющийся в процессе потребления товара; х1., х2, …хn – параметры качества в процессе создания товара.
В результате полученная модель (уравнение) позволяет, с одной стороны, прогнозировать ожидаемый уровень потребительского качества уже в процессе производства продукции, а с другой стороны, – рассчитать требуемое производственное качество на основе необходимых рынку потребительских характеристик товара.
Конкурентоспособность товара – это комплексная характеристика, учитывающая не только его качество, но и экономические факторы конкурентоспособности: соответствие спросу, себестоимость, транспортные расходы, цена, расходы на продвижение товара, включая рекламные мероприятия и обслуживание потребителей. Обобщающая характеристика конкурентоспособности товара осуществляется с помощью интегрального индекса (Iкс), основанного на сравнении сводных показателей, оценивающих технико-эксплуатационные, эстетические и психологические параметры качества (Кинтп), и показателей, характеризующих экономические факторы конкурентоспособности (Кинтэ). Расчет этих показателей может вестись по одной из предложенных выше формул.
Iкс = Кинтп / Кинтэ .
Товар конкурентоспособен, если Iкс > 1.
Характеристика конкурентоспособности товара должна включать также оценку его перспективности: возможное расширение рынка данного товара, резервы его модификации, возможности совершенствования его продвижения и т. Д. С помощью экспертной оценки рейтинга и удельного веса каждого критерия рассчитывается коэффициент перспективности товара как средняя арифметическая взвешенная величина. В дальнейшем оценивается его близость к максимально возможной величине, уровень которой зависит от выбранной шкалы рейтинговых оценок.
Статистика результатов экономической деятельности должна отражать динамический аспект анализа на основе применения разнообразных методов исследования динамических процессов: построение динамических рядов производства (сбыта) продукции (в натуральных и стоимостных единицах измерения), расчет базисных, цепных и средних темпов роста (снижения) и прироста, построение трендовых моделей, характеризующих основную тенденцию развития и ее колеблемость в результате цикличности, сезонности или каких-либо других факторов влияния. Важное место в анализе динамики стоимостных показателей объема предпринимательской деятельности занимает индексный метод, позволяющий не только оценить направленность и темпы изменения изучаемых показателей, но и отразить количественный и ценовой компоненты их динамики, роль отдельных структурных составляющих.
Анализ влияния факторов, определяющих изменение результатов экономической деятельности во времени, предполагает применение методов анализа корреляционной зависимости между рядами динамики результативного и факторных показателей. При этом очень важное значение имеют учет и устранение автокорреляции, обусловленной не реальной связью динамических рядов, а зависимостью каждого последующего уровня динамического ряда от предыдущего.