Вопрос 1. Общие сведения о спектре сигнала
В радиотехнических устройствах протекают электрические процессы, имеющие специфический характер. Реальный радиотехнический сигнал как физический объект аналитического и практического исследований достаточно сложен. Чтобы провести анализ прохождения сигнала через радиотехнические цепи, необходимо его представить в удобной математической форме. В теории сигналов широкое применение нашли два способа математического и физического представления электрических сигналов: временной и спектральный. При временном способе анализа сигнал отражают непрерывной функцией времени или совокупностью элементарных импульсов, следующих друг за другом через определенные интервалы времени. Спектральный способ основан на представлении (аппроксимации) сигнала в виде суммы гармонических составляющих разных, обычно кратных друг другу частот.
Анализ процессов в электрических цепях главным образом зависит от сложности формы поступающих на них сигналов. В этих случаях часто становится эффективным спектральное представление сигналов. Фундаментальная идея такого представления принадлежит Ж. Фурье. Для периодических сигналов Фурье ввел разложение по различным видам рядов — тригонометрическим, гармоническим, комплексным и т.д. Фурье также доказал, что непериодические (импульсные) сигналы можно описать с помощью двух его преобразований — прямого и обратного.

Рис.1 Амплитуда сигнала
Итак, практически любой сигнал можно представить в виде суммы гармонических составляющих (спектра), амплитуды и частоты которых можно определить с помощью прямого преобразования Фурье. Этот спектр гармонических составляющих за
частую удобно отобразить графически, если по оси абсцисс откладывать обозначение частот, а по оси ординат — величины амплитуд гармоник. На рис. 1 наглядно показано временное и спектральное представление достаточно сложного по форме сигнала. Анализ спектра включает определение как амплитуд гармоник (спектра амплитуд), так и их начальных фаз (спектра фаз). Однако для многих практических задач достаточно знать лишь спектр амплитуд. Поэтому под анализом спектра принято понимать определение амплитуд гармоник исследуемого сигнала.
Автоматическое представление спектра сигналов осуществляют специальными приборами — анализаторами спектра.
Анализаторы спектра электрических сигналов классифицируют следующим образом:
• по способу анализа — последовательные, параллельные (одновременные) и смешанные;
• по диапазону частот — низкочастотные, высокочастотные, сверхвысокочастотные, широкодиапазонные.
Основными характеристиками анализаторов являются: разрешающая способность, время анализа и погрешности измерения частоты и амплитуды.
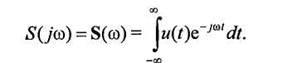
Для спектрального анализа непериодических сигналов (функций) используют аппарат интегрального преобразования Фурье. При этом применяют известную формулу прямого преобразования Фурье, характеризующую спектральную плотность непериодического (импульсного) сигнала
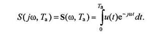
Однако существует одно обстоятельство, общее для всех схем анализаторов, ограничивающее точность анализа спектра сигнала: преобразование Фурье широко применяют при аналитических исследованиях физических процессов, если выполняются условия Дирихле и абсолютной интегрируемости. Для реальных физических процессов эти условия обычно выполняются. Преобразования Фурье предполагают, что процесс u(t) задан на всей оси времени от - ∞ до + ∞. Спектр определяется всем закончившимся процессом. Однако при измерениях наблюдают процессы на конечном интервале времени Тя (времени анализа, наблюдения), т.е. не закончившиеся во времени. Это несоответствие позволяет устранить модель текущего частотного спектра, определяемого соотношением


Иными словами, текущая спектральная плотность зависит от времени анализа и форма текущего спектра в общем случае отличается от истинного тем больше, чем меньше Та. Отличие текущего спектра от спектра закончившегося процесса зависит от того, проявились ли за время анализа Та все характерные особенности сигнала. Если исследуемый анализатором электрический сигнал — периодический с периодом следования Т, то необходимо, выполнение условия: Та» Т.
При измерении спектра нижний предел времени анализа является конечным, т.е. интегрирование (усреднение) проводится в интервале от 0 до Та. За счет этого возникает методическая погрешность определения составляющих спектра, связанная с методом измерений. Эта погрешность для ряда технических применений не играет особой роли, но в некоторых случаях ее необходимо учитывать и исследовать.
Приборы, применяемые для анализа спектра сигналов, можно разделить на аналоговые и цифровые. Несмотря на многие достоинства цифровых анализаторов, аналоговые анализаторы еще широко используют, особенно в верхней части высокочастотного и СВЧ-диапазонов. Современные аналоговые анализаторы спектров содержат и цифровые устройства. Практически во всех аналоговых анализаторах выделение гармонических составляющих сигнала производится узкополосными фильтрами. Этот метод реализуют двумя способами: параллельного и последовательного анализа сигнала. Основным элементом таких приборов является полосовой фильтр (высокодобротный резонатор) с узкой полосой пропускания, который выделяет отдельные составляющие или узкие диапазоны частот исследуемого спектра.