Задания 61-70
Даны функция
, точка
и вектор
. Найти:
1) градиент функции
в точке
;
2) производную функции
в точке
по направлению вектора
.
61.

62.
63.
64.
65.
66.
67.
68.
69.
70.
Задания 71-80
Найти:
1) частное решение дифференциального уравнения первого порядка, удовлетворяющее начальным условиям
.
2) общее решение дифференциального уравнения второго порядка с постоянными коэффициентами.
71.
1)
2)
72.
1)
2)
73.
1)
2)
75.
1)
2)
76.
1)
2)
77.
1)
2)
78.
1)
2)
79.
1)
2)
80.
1)
2)
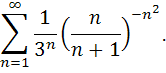
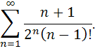
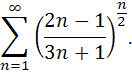
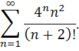
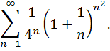
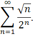
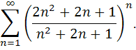
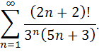
Задания 81-90
Исследовать сходимость ряда.
81.

82.

83.

84.

85.

86.

87.

88.

89.

90.

ПРИМЕРЫ РЕШЕНИЯ ТИПОВЫХ ЗАДАНИЙ