ВОССТАНОВЛЕНИЕ ПОСТОЯННОЙ СОСТАВЛЯЮЩЕЙ ТЕЛЕВИЗИОННОГО СИГНАЛА
В данном разделе рассматриваются процессы восстановления постоянной составляющей телевизионного сигнала с помощью управляемых и неуправляемых фиксирующих цепей.
Величина сигнала изображения должна соответствовать яркости детали передаваемой сцены. Если изображение передается с помощью фотоэлектрического преобразователямгновенного действия, например, фотоэлемента, то это требование удовлетворяется.
В качестве примера исследуем изменение яркости вдоль строк различных по содержанию изображений, первое из которых - черная полоса на белом фоне, а второе - белая полоса на черном фоне. Средние яркости их существенно различны и равны соответственно Lрс1 и Lрс2 , минимальные и максимальные яркости одинаковы. Телевизионный сигнал Uс , образующийся на нагрузке фотопреобразователя, содержит постоянную составляющую (среднее значение сигнала за время, равное длительности нескольких десятков ТВ полей), которая пропорциональна средней яркости Uрс1 º Lрс1 и Uрс2 º Lрс2 , а размах ТВ сигнала пропорционален перепаду яркости (рис. 6.1, а).

Если передача изображений производится с помощью передающих трубок с накоплением заряда, работающих в режиме перераспределения вторичных электронов, то при фотоэлектрическом преобразовании происходит полная или частичная потеря информации о средней яркости изображения. Полная потеря постоянной составляющей происходит также в ТВ широкополосных усилителях переменного тока, где между каскадами включены разделительные конденсаторы. В этом случае ТВ сигнал располагается относительно нулевой оси (или так называемой линии равных площадей) таким образом, что площадь, ограниченная положительной частью сигнала и осью, равна площади, ограниченной отрицательной частью сигнала и осью (рис. 6.1, б).
Если сигналы, искаженные подобным образом, использовать для модуляции тока луча Lл приемной трубки, то яркости ТВ изображений Lиз также будут искажены: в зависимости от положения ТВ сигнала на модуляционной характеристике кинескопа изображение будет либо затемняться, либо высвечиваться (рис. 6.1, б). При этом фактический амплитудный диапазон сигнала увеличивается в 1,5–2 раза. Для того чтобы избежать подобных искажений, необходимо использовать то обстоятельство, что в ТВ сигнале изменение размаха гасящих импульсов (ГИ) приемной трубки происходит в соответствии со средней яркостью изображения.
Восстановление постоянной составляющей сигнала в отдельных точках тракта, например в модуляторе радиопередатчика, осуществляется с помощью фиксации уровня гасящих импульсов, т. е. путем стабилизации положения ТВ сигнала от всех передаваемых изображений относительно некоторого постоянного потенциала (рис. 6.1, в). Для этой цели используются специальные пиковые детекторы, так называемые фиксирующие схемы (неуправляемые и управляемые).
Обобщенная схема фиксации уровней ТВ сигнала показана на рис. 6.2, а. Во время прохождения гасящих импульсов ТВ сигнала напряжение на коммутирующем элементе (КЭ) схемы - диоде (диодах) или транзисторе (транзисторах) – увеличивается. При этом КЭ самостоятельно под воздействием напряжения ТВ сигнала (неуправляемая схема) или принудительно под воздействием строчных импульсов (СИ) (управляемая схема) открывается или переходит в насыщение и его малое прямое сопротивление Rin шунтирует сопротивление Rр разделительной цепи и входное сопротивление следующего каскада (рис. 6.2, б). В результате напряжение ТВ сигнала на базе транзистора в указанные интервалы должно стать равным опорному напряжению фиксации Eф вне зависимости от прежнего значения уровня черного.
Рассмотрим работу схемы рис. 6.2, а более подробно. В обычном усилительном каскаде ТВ сигнал располагается относительно напряжения смещения Eф по линии равных площадей (интервал времени t1 ¸ t2 рис. 6.2, в). При наличии схемы фиксации КЭ открывается во время прохождения гасящих импульсов (ключ замыкается на внутреннее сопротивление КЭ в прямом направлении Rin при t = t3 рис. 6.2, б, в). Для того чтобы напряжение на базе VT2 за время действия сравнительно короткого импульса ТВ сигнала стало равно Eф , величина постоянной времени заряда должна быть небольшой

где Rin ½½ Rp ½½ Rвх - параллельное соединение сопротивлений Rin , Rp и Rвх , причем Rin << Rр ½½ Rвх ; Rвых - выходное сопротивление предыдущего каскада; tи - длительность строчного гасящего импульса (СГИ) при неуправляемой или длительность СИ при управляемой схеме фиксации.

К концу действия импульса за счет выпрямления напряжения ТВ сигнала коммутирующим элементом на конденсаторе Ср образуется дополнительное напряжение UСр , величина которого примерно равна постоянной составляющей сигнала Ucр и определяется в общем случае размахом сигнала в момент отпирания КЭ и постоянной времени заряда. При t = t4 , когда КЭ запирается (ключ S замыкается на внутреннее сопротивление КЭ в обратном направлении Ri0 , рис. 6.2, б), ТВ сигнал оказывается смещенным относительно напряжения Eф на величину UСр . Суммарное напряжение смещения будет равно ½Ucм½= ½Eф½+½UСр½ , т.е. будет зависеть от формы ТВ сигнала и, в частности, от размаха гасящих импульсов. При этом все площадки гасящих импульсов ТВ сигнала будут «привязаны» к уровню напряжения смещения , т. е. постоянная составляющая сигнала восстанавливается.
Напряжение UСр при запертом КЭ медленно уменьшается за счет разряда конденсатора Ср на сопротивления R'р = Rр½½ Rio ½½ Rвх и Rвых . Через промежуток времени, равный Tz - tи (при t = t5 , рис. 6.2, в), оно уменьшится на величину DU . Величина напряжения DU определяет величину перекоса ТВ сигнала Uc , т. е. величину изменения яркости изображения вдоль строки на экране приемной трубки. Для того чтобы это изменение не было заметно на изображении, допустимый относительный перекос ТВ сигнала должен быть

Постоянная времени разряда при D £ 0,05 и R'р >> Rвых будет равна

В неуправляемых схемах ВПС (рис. 6.3) открывание диода VD (КЭ на рис. 6.2) осуществляется напряжением DU , от величины которого зависит сопротивление Rin и значение tз , что приводит к нестабильности уровня фиксации. Эти схемы также обладают большой инерционностью: если за изображением с большой средней яркостью передается изображение с малой средней яркостью, то фиксация уровня длительное время не производится (t = t6 ¸ t7, рис. 6.2, в) до тех пор, пока конденсатор Cp не разрядится. Если же уменьшить величину tp , то инерционность станет меньше, однако в соответствии с уравнением (6.2) относительный перекос ТВ сигнала D увеличится, что приведет к недопустимым яркостным искажениям изображения.

Управляемые схемы ВПС лишены указанных выше недостатков за счет принудительного открывания КЭ каждую строку в интервалы СГИ напряжением СИ достаточно большого размаха ( Rin и соответственно tз малы, и уровень фиксации стабилен). В схеме инерционности нет, так как Cp оперативно перезаряжается.

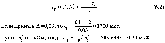
Управляемая схема содержит четыре диода, включенные в плечи моста (рис. 6.4, а).
Обычно Cp << C1 = C2 , R >> Rг1 = Rг2 где Rг1 и Rг2 - выходные сопротивления генераторов управляющих импульсов. Диоды VD1 ¸ VD2 отпираются управляющими импульсами во время обратных ходов строчной развертки. За счет тщательной балансировки моста и малой постоянной времени перезаряда конденсатора Cp (заряд при t = t5 , или разряд при t = t7, рис. 6.2, в) напряжение на базе транзистора VT2 во всех случаях устанавливается равным . Конденсаторы C1,2 также заряжаются до напряжений ½U'C1,2½ (рис. 6.4,б) за счет выпрямления управляющих импульсов. Эти напряжения запирают диоды по окончании действия управляющих импульсов.
Надежное запирание и отпирание диодов соответствующими напряжениями будет при

(рис. 6.4, б). Исходя из этого размах управляющих импульсов Uи = U'C1,2 + U''C1,2 приходится выбирать в несколько раз большим, чем размах ТВ сигнала Uc max .

В видеоусилителях применяется еще и схема с одним или двумя транзисторами, работающими в ключевом режиме. Строчные управляющие импульсы поступают на базы транзисторов VT1 и VT2 (рис. 6.5) и переводят их в режим насыщения, в котором их сопротивления малы; происходит заряд конденсатора Cp до напряжения UCp »Ucp . В промежутках между управляющими импульсами транзисторы закрываются, и на выход схемы подается ТВ сигнал Uвых и напряжение смещения Uсм = Eф + Uср , величина которого пропорциональна постоянной составляющей сигнала. В настоящее время схемы ВПС выполняются в основном в соответствии с приведенной на рис. 6.5 схемой, т. е. схемой транзисторного типа. Применение в качестве коммутирующего элемента компенсированного ключа с двумя транзисторами разного типа проводимости гарантирует надежное закрывание схемы ВПС в промежутке между СИ вне зависимости от полярности и размаха ТВ сигнала. Действительно, при любой полярности ТВ сигнала его напряжение всегда является закрывающим для одного из пары транзисторов VT1 - VT2 . Следовательно, сопротивление разряда Rp и соответственно tp будут оставаться высокими, обеспечивающими малый перекос яркости вдоль строки.
Фиксирующие цепи дают возможность уменьшить величину НЧ помех, суммируемых с ТВ сигналом, за счет периодической (с частотой строчной развертки) «привязки» уровней ГИ сигнала к одному и тому же опорному напряжению Eф . Однако, когда сигнал промодулирован помехой, устранить ее невозможно. С помощью фиксации уровня удается использовать в тракте усилительные элементы меньшей мощности и уменьшить нелинейные искажения ТВ сигнала. Фиксация уровня необходима также при ограничении уровней ТВ сигнала, коррекции полутоновых искажений и модуляции сигнала несущей частоты ТВ изображения.