ВАРИАЦИЯ АЛЬТЕРНАТИВНОГО ПРИЗНАКА.
В статистике помимо показателей вариации количественных признаков широко используются показатели вариации качественных признаков (в частности, при проектировании выборочного наблюдения). Вариация альтернативного признака количественно проявляется в значении 0 (нуля) у единиц, которые этим признаком не обладают, или 1 (единицы) у тех, которые данный признак имеют.
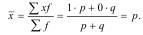
Пусть р – доля единиц в совокупности, обладающих данным признаком, q – доля единиц, не обладающих данным признаком, причем p + q = 1.
Среднее значение альтернативного признака определим по
формуле средней арифметической:

Дисперсия альтернативного признака определяется по формуле:

Таким образом, средняя величина альтернативного признака
равна его доле в данной совокупности, а дисперсия –произведению доли его наличия и доли его отсутствия. Максимальное значение дисперсии альтернативного признака, означающее максимальную неоднородность совокупности, равно 0,25 при р = q = 0,5.