Раздел 2. Элементы векторной теории
Приложение векторной теории к решению задач
Координаты вектора: 
Длина вектора:

Координаты C - середины отрезка AB:
,
, 
Направляющие конусы вектора
:

.
Косинус угла между векторами
и
можно найти по формуле: 
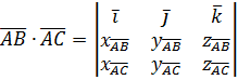
Для нахождения площади треугольника ABC используется геометрический смысл модуля векторного произведения векторов
и
, на которых построен треугольник ABC: 

Для нахождения объема пирамиды ABCD, используется геометрический смысл смешанного произведения векторов
,
и
, на которых построена пирамида:

Пример1: Даны точки: A(4; -3; 5), B(6; -2; 3;), C(1; 2; 8), D(4; -2; 1).
Найти: 1) координаты вектора
, его длину и направляющие косинусы; 2) угол между векторами
и
; 3) площадь треугольника ABC; 4) объем пирамиды ABCD. Сделать чертеж.
Решение: 1)Найдем координаты вектора
по формуле

Длину вектора
вычислим по формуле
,
где X, Y, Z – координаты вектора.
Имеем:
.
Направляющие конусы вектора
найдем по формулам: 
. Получаем:

2) Косинус угла между векторами
и
можно найти по формуле: 
Найдем координаты вектора
и его длину:

.
Таким образом,
.
Тогда
.
3) Для нахождения площади треугольника ABC используем геометрический смысл модуля векторного произведения векторов
и
, на которых построен треугольник ABC: 
Найдем координаты векторов
, а затем векторное произведение векторов:


. Тогда 
4) Найдем объем пирамиды ABCD, используя геометрический смысл смешанного произведения векторов
,
и
, на которых построена пирамида:
.
Найдем смешанное произведение векторов:
; 
Чертеж сделать самостоятельно.