Веса агрегатных индексов цен и физического объема продукции
Агрегатная формула индекса товарооборота показывает, что его величина зависит от двух явлений, от двух переменных величин: физического объема товарооборота, т. е. количества проданных товаров, и цены за каждую единицу реализованных товаров. Чтобы выявить влияние каждой переменной в отдельности, следует влияние одной из них исключить, т. е. принять ее условно в качестве постоянной, неизменной величины на уровне отчетного или базисного периода. Вопрос о том, какой период принять в качестве постоянной величины, рассмотрим на примере индекса цен и индекса физического объема товарооборота.
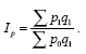
Агрегатный индекс цен. Общее изменение цен можно определить, если считать постоянной величиной количество реализованных товаров за отчетный или базисный период. Если для получения индекса цен принимать в качестве весов данные о количестве реализованных товаров за отчетный период, можно получить следующую формулу агрегатного индекса цен:

где p1 и р0 – единицы реализованных товаров в отчетном и базисном периодах;
q1 – количество реализованных товаров в отчетном периоде.
Если примем в качестве весов данные о количестве реализованных товаров в базисном периоде, то формула агрегатного индекса цен примет вид:

Полученные формулы агрегатных индексов цен с отчетными и базисными весами не идентичны.
Величина индекса зависит от индексируемых показателей, т. е от величин, изменения которых нам нужно определить, и от сомножителей, которые берутся в качестве весов, а в зависимости от данных, которые были взяты в качестве весов – это данные базисного или отчетного периодов, получают два разных индекса.
Первый индекс показывает изменение цен отчетного периода по сравнению с базисным по продукции, проданной в отчетном периоде, и фактическую экономию от снижения цен.
Другой индекс показывает, насколько поменялись цены в отчетном периоде по сопоставлении с базисными, но только по продукции, которая была реализована в базисном периоде, и экономию, которую можно было получить в результате снижения цен.
Абсолютная фактическая экономия от снижения цен в отчетном периоде определяется следующим образом:

Абсолютная условная экономия в базисном периоде:

Для вычисления индекса цен необходимо сопоставить стоимость товаров, реализованных в отчетном периоде по ценам отчетного периода, со стоимостью этих же товаров, но по ценам базисного периода.
Агрегатный индекс цен представляет собой дробь, числитель и знаменатель которой состоят из двух сомножителей. Один из них является переменной индексируемой величиной (p1 и p0 ). а второй принимается условно в качестве постоянной величины – веса индекса (q1 ).