Параметры транзистора как четырехполюсника. h-параметры
Биполярный транзистор в схемотехнических приложениях представляют как четырехполюсник и рассчитывают его параметры для такой схемы. Для транзистора как четырехполюсника характерны два значения тока I1 и I2 и два значения напряжения U1 и U2 (рис. 5.23).

Рис. 5.23. Схема четырехполюсника
В зависимости от того, какие из этих параметров выбраны в качестве входных, а какие в качестве выходных, можно построить три системы формальных параметров транзистора как четырехполюсника. Это системы z-параметров, y-параметров и h-параметров. Рассмотрим их более подробно, используя линейное приближение.
Система z-параметров
Зададим в качестве входных параметров биполярного транзистора как четырехполюсника токи I1 и I2, а напряжения U1 и U2 будем определять как функции этих токов. Тогда связь напряжений и токов в линейном приближении будет иметь вид:

Коэффициенты zik в этих уравнениях определяются следующим образом:
- определяются как входное и выходное сопротивления.
- сопротивления обратной и прямой передач.
Измерения z-параметров осуществляются в режиме холостого хода на входе (I1 = 0) и выходе (I2 = 0). Реализовать режим разомкнутого входа I1 = 0 для биполярного транзистора достаточно просто (сопротивление эмиттерного перехода составляет всего десятки Ом и поэтому размыкающее сопротивление в цепи эмиттера в несколько кОм уже позволяет считать I1 = 0). Реализовать режим разомкнутого выхода I2 = 0 для биполярного транзистора сложно (сопротивление коллекторного перехода равняется десяткам МОм и размыкающее сопротивление в цепи коллектора в силу этого должно быть порядка ГОм).
Система y-параметров
Зададим в качестве входных параметров биполярного транзистора как четырехполюсника напряжения U1 и U2, а токи I1 и I2 будем определять как функции этих напряжений. Тогда связь токов и напряжений в линейном приближении будет иметь вид:

Коэффициенты в уравнениях имеют размерность проводимости и определяются следующим образом:
- входная и выходная проводимости.
- проводимости обратной и прямой передач.
Измерение y-параметров происходит в режиме короткого замыкания на входе (U1 = 0) и выходе (U2 = 0). Реализовать режим короткого замыкания на входе (U1 = 0) для биполярного транзистора достаточно сложно (сопротивление эмиттерного перехода составляет всего десятки Ом и поэтому замыкающее сопротивление в цепи эмиттера должно составлять доли Ома, что достаточно сложно). Реализовать режим короткого замыкания на выходе U2 = 0 для биполярного транзистора просто (сопротивление коллекторного перехода равняется десяткам МОм и замыкающие сопротивления в цепи коллектора могут быть даже сотни Ом).
Система h-параметров
Система h-параметров используется как комбинированная система из двух предыдущих, причем из соображений удобства измерения параметров биполярного транзистора выбирается режим короткого замыкания на выходе (U2 = 0) и режим холостого хода на входе (I1 = 0). Поэтому для системы h-параметров в качестве входных параметров задаются ток I1 и напряжение U2, а в качестве выходных параметров рассчитываются ток I2 и напряжение U1, при этом система, описывающая связь входных I1, U2 и выходных I2, U1 параметров, выглядит следующим образом:

Значения коэффициентов в уравнении для h-параметров имеют следующий вид:
- входное сопротивление при коротком замыкании на выходе;
- выходная проводимость при холостом ходе во входной цепи;
- коэффициент обратной связи при холостом ходе во входной цепи;
- коэффициент передачи тока при коротком замыкании на выходе.
Эквивалентная схема четырехполюсника с h-параметрами приведена на рисунке 5.24а, б. Из этой схемы легко увидеть, что режим короткого замыкания на выходе или холостого хода на входе позволяет измерить тот или иной h-параметр.

Рис. 5.24. Эквивалентная схема четырехполюсника:а) биполярный транзистор в схеме с общей базой; б) биполярный транзистор в схеме с общим эмиттером
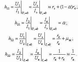
Рассмотрим связь h-параметров биполярного транзистора в схеме с общей базой с дифференциальными параметрами. Для этого воспользуемся эквивалентной схемой биполярного транзистора на низких частотах, показанной на рисунке 5.24а, а также выражениями для вольт-амперных характеристик транзистора в активном режиме. Получаем:

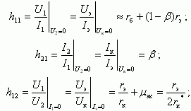
Для биполярного транзистора в схеме с общим эмиттером (рис. 5.24б) выражения, описывающие связь h-параметров с дифференциальными параметрами, будут иметь следующий вид:

Для различных схем включения биполярного транзистора (схема с общей базой, общим эмиттером и общим коллектором) h-параметры связаны друг с другом. В таблице 2 приведены эти связи, позволяющие рассчитывать h-параметры для схемы включения с общей базой, если известны эти параметры для схемы с общим эмиттером.
Таблица 2. Связи между h параметрами

Дифференциальные параметры биполярных транзисторов зависят от режимов их работы. Для схемы с общим эмиттером наибольшее влияние испытывает коэффициент усиления эмиттерного тока h21э в зависимости от тока эмиттера. На рисунке 5.25 приведена эта зависимость для транзисторов КТ215 различных типономиналов. В области малых токов (микромощный режим) коэффициент усиления уменьшается вследствие влияния рекомбинационной компоненты в эмиттерном переходе, а в области больших токов (режим высокого уровня инжекции) - коэффициент усиления уменьшается вследствие уменьшения коэффициента диффузии.

Рис. 5.25. Зависимость коэффициента h21э для различных транзисторов марки КТ215Д от эмиттерного тока Iэ [24, 29]