Модели с частично распределенными параметрами
Модели с распределенными параметрами сложны и представляют вычислительные трудности при их реализации. При этом не всегда бывает необходимо иметь распределение параметров микроклимата в моделируемом объекте по всем осям координат.
Например, в помещениях малой площади с равномерно распределенными источниками вредности достаточно анализировать распределение того или иного параметра только по одной из трех координат, совпадающей с высотой помещения.
![]() |
Рис.2.2. К постановке задачи модели с частично распределенными парметрами. Параметры с чертой - средние по площади АС
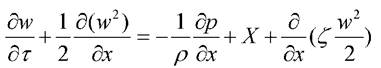
В подобных случаях говорят о модели с частично распределенными параметрами (по одной или двум осям координат). В качестве такой модели продолжим рассмотрение принятого выше примера - системы уравнений для движущегося потока жидкости. Уравнение движения для проекции на ось х имеет вид
(2.7)
где
- коэффициент потери энергии потока при движении. Уравнение сплошности потока
(2.8)
Уравнение баланса тепловой энергии
(2.9)
где:
-коэффициент теплообмена, Вт/м2 град;
-площадь поверхности теплообмена (ограждений), отнесенная к 1 м длины
пути воздуха, м ;
-площадь поперечного сечения движущегося потока, м2;
-удельная теплоемкость воздуха, кДж/кг град;
-средняя по площади температура поверхностей, град.
Система уравнений дополняется граничными и начальными условиями. В приведенной модели используются коэффициент обмена
и потерь энергии
, что упрощает задачу расчета. Следует иметь в виду, что эти коэффициенты связаны с реальными процессами формирования микроклимата. Поэтому их значения определяют экспериментально или расчетом по более сложным трехмерным моделям..
2.2.3. Модели с сосредоточенными параметрами Такие модели наиболее распространены в инженерной практике, что связано с их простотой и доступностью реализации. Суть модели состоит в том, что все величины в помещении принимаются средними по его объему. Таким образом распределенные в общем случае параметры микроклимата концентрируются в одной точке , поэтому такие модели называют еще точечными. Для точечных моделей характерны следующие упрощения:
-равномерное распределение лучистых тепловых потоков пропорционально площади поверхности ограждений;
-одинаковая средняя температура поверхностей ограждений (радиационная температура) ;
-одинаковая средняя по объему температура воздуха ; -одинаковая средняя концентрация вредных веществ в объеме помещения; -одинаковые и постоянные коэффициенты переноса (теплообмена, массооб- мена).
Точечные модели состоят из алгебраических уравнений и предназначены, как правило, для ручного счета. С их помощью определяют теплопотери и тепло- поступления в помещение, выделение вредностей , определение установочной производительности и решают широкий круг других задач обеспечения микроклимата.
Вместе с тем, подобные модели могут быть предназначены для решения нестационарных задач формирования микроклимата и поэтому включают уравнения в дифференциальной форме. В качестве примера рассмотрим модель формирования концентрации газовой вредности в помещении, известную как уравнение воздухообмена ( подробно см.раздел 6.3).
Уравнение баланса вредности включает поступление и расход вредности за бесконечно малый промежуток времени
. При этом дисбаланс вредности вызывает изменение концентрации:
(2.10)
где:
-масса газовой вредности, поступающей в помещение, мг/ч;
-расход приточного воздуха, м3/ч;
-концентрация вредности в воздухе помещения, мг/м3;
-концентрация вредности в приточном воздухе, мг/м3;
-объем помещения,м3.
Уравнение (2.10) написано для случая, когда температура приточного и уходящего воздуха равны.
В помещениях большого объема имеет место выраженное распределение параметров микроклимата прежде всего по высоте. В этом случае, не прибегая к привлечению более сложных моделей с полностью или частично распределенными параметрами , можно решить задачу приближенно с помощью точечной модели.
Решение состоит в выделении в объеме помещения двух зон (см.рис.2.3) ,для каждой из зон составляется уравнения баланса вредностей, которые дополняют уравнениями тепло-массообмена на границе раздела зон. Подобная модель называется двухзонной и представляет собой уточнение модели с сосредоточенными параметрам
