Оптимизация генома в качестве основного пути эволюции и сложность как геномный синдром
Мы интуитивно склонны считать, что эволюция происходит от простых форм к сложным. Как писал Дарвин в заключительной 14-й главе «Происхождения…», «…из такого простого начала развилось и продолжает развиваться бесконечное число самых прекрасных и самых изумительных форм» (Darwin, 1859). Конечно, эта интуиция имеет смысл (и создает тяжелую проблему), когда речь заходит о происхождении первых форм жизни (мы обратимся к этой теме в гл. 12). Тем не менее была ли постепенно увеличивающаяся сложность преобладающей тенденцией в истории большинства линий на протяжении всей эволюции жизни? И теория популяционной генетики, и сравнительные геномные реконструкции говорят об обратном[77]. В качестве наглядной иллюстрации обратимся еще раз к рис. 7–8. Появление двух ветвей многоклеточных эукариот, по-видимому, сопровождалось умеренным увеличением плотности интронов, что указывает на популяционное бутылочное горлышко, связанное с увеличением общей энтропии генома (величина H из первой части этой главы), во многих случаях весьма значительным. Увеличение энтропии создает нейтральное пространство, необходимое для последующего увеличения общей биологической сложности (высокое значение C ). Напомним, что в этих случаях плотность биологической информации падает (низкое значение D ): эти линии эволюционируют в «энтропийном режиме». Тем не менее даже среди растений и животных имеются большие группы, к примеру насекомые, эволюция которых включала оптимизацию генома, или уменьшение эволюционной энтропии . Этот процесс характеризуется менее стремительным падением в общей сложности и увеличением плотности биологической информации. Обращаясь к большинству ветвей в эукариотном дереве (см. рис. 7–2 и 7–8), включающих одноклеточные формы, мы видим однозначную картину оптимизации генома: энтропия генома резко падает и общая сложность также, хоть и менее резко, уменьшается, в то время как плотность информации быстро возрастает.
Пока еще слишком рано говорить о том, насколько тенденция к оптимизации генома, полученная из реконструкции на рис. 7–8, главенствует в общем контексте эволюции жизни, потому что таксономическая плотность секвенированных геномов из различных ветвей жизни по-прежнему недостаточна. Тем не менее результаты имеющихся ограниченных реконструкций позволяют предположить, что изложенная картина может быть достаточно полной. Например, реконструкция общего предка существующих архей указывает на то, что геном предковой формы был, по крайней мере, столь же сложен (в пересчете на общую сложность C , потому как трудно реконструировать энтропию и, следовательно, плотность информации непосредственно), как у типичных современных членов группы (Csuros and Miklos, 2009)[78]. Кроме того, проявляется четкая тенденция в самих результатах реконструкций: предполагаемая сложность предковых форм пересматривается в сторону повышения с увеличением числа использованных для реконструкции геномов и с уточнением применяемых моделей наибольшего правдоподобия. Качественно аналогичные результаты были получены в ходе реконструкции генного набора LECA (см. гл. 7): даже намеренно консервативные подходы, примененные к ограниченному набору геномов, указывают, что LECA был как минимум столь же сложен, как и типичный современный одноклеточный эукариот (Koonin, 2010a).
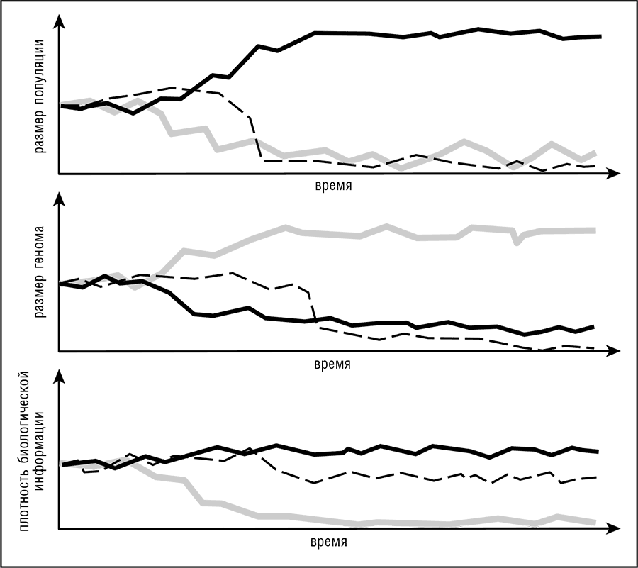
С учетом результатов этих реконструкций предкового генома и в рамках неадаптивной популяционно-генетической теории эволюции генома возникает искушение предложить общую модель эволюции энтропии и сложности генома. В этой модели эволюция обычно происходит прерывистым образом, через стадии высокой энтропии, связанные с популяционными «бутылочными горлышками», впоследствии развиваясь в одном из двух различных режимов (см. рис. 8–5):
1. Низкоэнтропийное (высокая плотность биологической информации) состояние, связанное с высоким N e , по сценарию оптимизации;
2. Высокоэнтропийное (низкая плотность биологической информации) состояние, связанное с низким N e , в соответствии со сценарием кооптации[79].
Этот паттерн эволюции повторяется на протяжении всей истории жизни[80]. Высокоэнтропийные «бутылочные горлышки» соответствуют появлениям новых крупных групп, в то время как последующие расхождения линий внутри этих групп обычно включают в себя «нарушение симметрии» между этими двумя сценариями. Соответствие между этой моделью и моделью сжатого кладогенеза, изложенной в главе 6, очевидно. Важно отметить, что эпизоды внезапного возрастания энтропии немногочисленны и разнесены во времени друг от друга, тогда как большая часть истории жизни прошла в режиме «нормальной эволюции» между этими эпизодами. В фазе «нормальной эволюции» оптимизация генома, включающая уменьшение генома под действием сильного очищающего отбора в популяциях с большой N e , по-видимому, встречается чаще, чем ограниченное усложнение, характерное для групп организмов, традиционно рассматриваемых как сложные, куда, безусловно, входит и наша собственная линия млекопитающих.
Режим оптимизации генома легко демонстрируется in vitro в экспериментах по дарвиновской эволюции. Сол Спигелман и коллеги провели, пожалуй, самую известную серию таких экспериментов в 1960-х годах (Mills et al., 1973;. Spiegelman, 1971). Они поместили небольшое количество РНК бактериофага в пробирку с репликазой (фермент фага, ответственный за репликацию генома), нуклеотидами и необходимыми ионами и позволили ему реплицироваться в течение непродолжительного времени. Часть содержимого затем перенесли в другую пробирку, содержащую ту же смесь, и повторили процедуру. В этих условиях давление отбора на РНК фага требует лишь ускорения репликации, и результаты эволюции в этом режиме были весьма радикальны: после примерно 70 повторений размер РНК снизился с ≈3500 до ≈400 нуклеотидов, то есть до наименьшего размера, при котором молекула способна размножаться при помощи полимеразы.

Рис. 8–5. Общая модель динамики эффективного размера популяции, размера генома и плотности биологической информации в соответствии с неадаптивной теорией. Каждый из графиков показывает три пути эволюции генома: сплошная линия – оптимизация генома (свободно живущие автотрофные бактерии и археи, некоторые одноклеточные эукариоты); серая линия – задействование мусорной ДНК и усложнение генома (эукариоты, особенно их многоклеточные формы); пунктирная линия – храповик деградации генома (паразиты и симбионты, особенно внутриклеточные формы).