Механические колебания
Механические колебания – это движения, которое точно или приблизительно повторяются через одинаковые промежутки времени
. Различают
периодические и непериодические колебания. Периодическими называют
колебания, при которых координата и другие характеристики тела описываются
периодическими функциями времени.
Примерами механических колебаний могут служить движение шара на пружине,
на нити, движение ножек звучащего камертона или молекул воздуха вблизи
него (рис. 1). В физике рассматривают и другие колебания – процессы, обладающие
той или иной степенью повторяемости во времени (например, электромагнитные
колебания.)
Колебания можно классифицировать по условиям возникновения (свободные,
вынужденные, автоколебания) и по характеру изменения во времени кинематических
характеристик (пилообразные, гармонические, затухающие).
Классификация колебаний :

Для описания кинематических характеристик используют аналитическую
зависимость характеристики, например координаты или скорости от
времени uи графическое представление этой функции(рис. 2,асложной формы,
бпрямоугольные,впилообразные,ггармонические,дзатухающие,енарастающие).––––––(t),

Рис. 2
Наиболее общими характеристиками колебаний являются следующие физические
величины: амплитуда колебаний Анаибольшее отклонение колеблющегося
тела от положения равновесия (отклонение величины от ее среднего значения);
период колебанийТвремя, через которое движение тела полностью
повторяется (повторяются все кинематические характеристики колебаний),
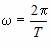
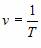
т.е. совершается одно полное колебание;частота колебанийv –величина,
показывающая число колебаний, совершаемых за1 с.Вместо частотыvчаще
пользуются понятием циклической частоты w.Циклическая частотаw –это
число колебаний, совершаемых за 2p секунд. Частота обратно пропорциональна
периоду:– –
и 
В СИ период Т выражается в секундах (c), частота vв герцах(Гц),циклическая
частотаw –в обратных секундах(с–1). –
Единица амплитуды колебаний зависит от того, какая колеблющаяся физическая
величина рассматривается.
Для сравнения колебаний, происходящих с одной частотой, но различающихся по
тому, какую стадию полного колебания проходит тело, вводят понятие фазы
колебаний. Если два шарика на нитях одинаковой длины отвести от положения
равновесия вправо и отпустить, то они будут колебаться в фазе (синфазно,
синхронно), если их развести в разные стороны, то колебания будут происходить
в противофазе.
При описании колебаний с помощью функции изменения кинематической величины
во времени фазой j называют аргумент функции, описывающей колебательный
процесс.