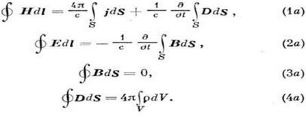
Уравнения Максвелла в интегральной форме
Используя Гаусса - Остроградского формулу и С такса формулу, ур-ниям (1) - (4) можно придать форму интегральных:

Криволинейные интегралы в (1a), (2a) берутся по произвольному замкнутому контуру (их наз. циркуляция-ми векторных полей), а стоящие в правых частях поверхностные интегралы - по поверхностям, ограниченным этими контурами (опирающимся на них), причём направление циркуляции (направление элемента контура
) связано с направлением нормали к S (вектор
) правовинтовым соотношением (если в качестве исходного выбрано пространство с правыми системами координат). В интегралах по замкнутым поверхностям (S) в (3а), (4а) направление вектора элемента площади
совпадает с наружной нормалью к поверхности; V - объём, ограниченный замкнутой поверхностью S.
M. у. в форме (1a) - (4a) предназначаются не только для изучения топологич. свойств эл--магн. полей, но и являются удобным аппаратом решения конкретных задач электродинамики в системах с достаточно высокой симметрией или с априорно известными распределениями полей. Кроме того, в матем. отношении эта система ур-ний содержательнее системы (1) - (4), поскольку пригодна для описания разрывных, нодиффе-ренцируемых распределений полей. Но в отношении физ. пределов применимости обе системы ур-ний равнозначны, т. к. любые скачки полей в макроэлектродинамике должны рассматриваться как пределы микромасштабно плавных переходов, с тем чтобы внутри них сохранялась возможность усреднения ур-ний Лоренца - Максвелла. С этими оговорками резкие скачки можно описывать и в рамках M. у. (1) - (4), прибегая к аппарату обобщённых функций.
Наконец, M. у. в интегральной форме облегчают физ. интерпретацию MH. эл--магн. явлений и поэтому нагляднее сопоставляются с теми экспериментально установленными законами, к-рым они обязаны своим происхождением. Так, ур-ние (1a) есть обобщение Био - Савара закона (с добавлением к току
максвелловского смещения тока).
Ур-ние (2a) выражает закон индукции Фарадея; иногда его правую часть переобозначают через "магн. ток смещения"

где
- плотность "магн. тока смещения", ФВ - магн. поток. Ур-ние (За) связывают с именем Гаусса
, установившим соленоидальность поля В, обусловленную отсутствием истинных магн. зарядов. Впрочем вопрос о существовании магнитных монополей пока остаётся открытым. Но соответствующее обобщение M. у. произведено (Хевисайд, 1885) на основе принципа двойственной симметрии M. у. (см. в разделе 9), для чего в (2) и (2a) наряду с магн. током смещения вводится ещё и "истинный" магн. ток (процедура, обратная проделанной когда-то Максвеллом с электрич. током в первом ур-нии), а в ур-ние Гаусса (3), (За) - магн. заряд

где
- плотность магн. заряда. Фактически все экспериментальные установки для регистрации ожидаемых магнитных монополей основаны на этом предположении. Наконец, ур-ние (4a) определяет поле свободного электрич. заряда; его иногда называют законом Кулона (Ch. A. Coulomb), хотя, строго говоря, оно не содержит утверждения о силе взаимодействия между зарядами, да и к тому же справедливо не только в электростатике, но и для систем с произвольным изменением поля во времени. На тех же основаниях иногда и ур-нпе (Ia) связывают с именем Ампера (A. Ampere).