Вложенные структуры условных операторов
Структура называется вложенной, если после служебного слова else или при истинности логического выражения вновь используются условные операторы. Число вложений может быть произвольным. При этом справедливо следующее правило: служебное слово else всегда относится к ближайшему выше слову if.
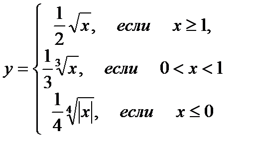
Пример. Вычислить значение у по одной из трех ветвей:

При решении данной задачи возможны два варианта программирования:
1) без вложенной структуры;
2) с вложенной структурой.
Ниже рассмотрены оба варианта решения задачи.
Вариант 1 (с использованием вложенной структуры)
| Начало |
| x |
| x≥1 |
y=
|
| y |
| Конец |
| x>0 |
y=
|
y=
|