Оценка погрешностей косвенных измерений
Чтобы понять основной принцип оценки погрешностей косвенных измерений, следует проанализировать источник этих погрешностей.
Пусть физическая величина Y есть функция непосредственно измеряемой величины х, Y = f(x).
Величина х имеет погрешность Dх. Именно эта погрешность Dх – неточность в определении аргумента x является источником погрешности физической величины Y, являющейся функцией f(x).
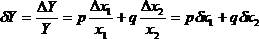
Приращение Dх аргумента х определяет собой приращение функции
.
Погрешность аргумента Dх косвенно определяемой физической величины Y определяет собой погрешность
, где Dх – погрешность физической величины, найденной в прямых измерениях.
Если физическая величина является функцией нескольких непосредственно измеряемых величин
, то, проводя аналогичные рассуждения для каждого аргумента xi, получим:

Очевидно, что погрешность, рассчитанная по этой формуле, является максимальной и соответствует ситуации, когда все аргументы изучаемой функции имеют одновременно максимальное отклонение от своих средних значений. На практике такие ситуации маловероятны и реализуются крайне редко, поэтому следует рассчитывать погрешность результата косвенных измерений
.
В реальных измерениях относительная точность различных величин хi может сильно отличаться. При этом, если для одной из величин xm выполняется неравенство
, где i = 1,…, m – 1, m + 1, …, n, то можно считать, что погрешность косвенно определенной величины DY определяется погрешностью Dxm:
.
Итак, при вычислении погрешности косвенно определяемой физической величины
надо прежде всего выявить наименее точно определенную в прямых измерениях величину
и, если
, считать
, пренебрегая погрешностями остальных хii¹m.
Рассмотрим наиболее распространенные случаи взаимосвязи физических величин.
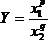
1. Степенная зависимость
, где p, q - любые числа.
В данном случае проще сначала вычислить относительную погрешность
.
2. Прологарифмируем
, получим
.
3. Продифференцируем это равенство:
.
4. Перейдем от бесконечно малых приращений – дифференциалов к конечным приращениям Dх1, Dх2:
.
5. Учтем, что Dх1 и Dх2 – величины алгебраические и могут быть как положительными, так и отрицательными. Нашей же целью является выявление максимально возможной погрешности, поэтому нас будет интересовать наихудшая ситуация, которая реализуется при Dх1 > 0, а Dх2 < 0. Вследствие этого при вычислении погрешности δY все минусы заменяются на плюсы, и мы имеем:
.
6. Это выражение дает завышенную погрешность. Более точная формула полученная из теории ошибок [3, 4, 5] имеет вид:
.
7. Следует заметить, что чем больше по модулю показатель степени, тем большую погрешность вносит данная переменная в погрешность результата. В данном случае следует также сравнить
между собой и найти среди них максимальное значение
. Если
для всех остальных i¹m, то
, и абсолютная погрешность
.
8. Логарифмическая зависимость
.
, переходя от дифференциалов к конечным приращениям, имеем:
.
В этом случае абсолютная погрешность DY пропорциональна относительной погрешности
непосредственно измеряемой величины x. Если Dx= const, то с ростом х DY будет уменьшаться (вот почему графики логарифмических зависимостей
, как правило отличаются неравновеликими погрешностями DY).
Итак, для логарифмических функций вида Y = A logax проще сразу вычислять абсолютную погрешность, которая пропорциональна относительной погрешности
переменной x : 