Оценка требуемой площади стенда
Главный вопрос в этих расчетах – какую площадь стенда арендовать? Такой вопрос встает перед большинством компаний, которые впервые принимают участие в выставке. Нередко новые экспоненты и небольшие компании автоматически делают заявку на экспоместо с размером по фронту 3 метра и, исходя из этого, планируют экспозицию. Вместе с тем необходимая площадь стенда зависит от целей экспонента на выставке, прежде всего от сохранения старых и привлечения новых клиентов, и от количества персонала на стенде.
С учетом рекомендаций зарубежных выставочников-профессионалов и опыта, накопленного авторами в последние годы, можно математически решить задачу оценки размеров стенда.
Предположим, что, исходя из целей участия фирмы в конкретной выставке, длительностью Т часов, намечено провести переговоров с NЗ числом заказчиков (старыми клиентами), которые намерены посетить выставку, и привлечь NK новых клиентов.
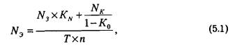
Количество представителей фирмы-экспонента NЭ – стендистов, которым дано право проведения переговоров, для выполнения целей участия определяется по формуле.

где KN – коэффициент реализованных намерений экспонента в отношении заказчиков;
K0 – коэффициент переговоров, не приводящих к результату;
n – число переговоров, которые каждый стендист реально может осуществить в час.
Учитывая, что в ряде случаев возможно получение дробных значений, будем округлять их до целых чисел. Кроме того, будем учитывать, хотя это и не скажется на дальнейших расчетах площадей стенда, что для обеспечения нормальных условий работы персонала на стенде необходимо предусмотреть возможность посменной работы.
Тогда необходимая площадь стенда для проведения заданного количества переговоров будет равна.

где S1 – площадь, необходимая для работы одного стендиста;
KS – коэффициент дополнительной площади, необходимой для переговоров стендиста с клиентом.
Введя коэффициент площади размещения экспозиции на стенде KЭ и учитывая, что в этом случае SСТ = SПЕР /(1 – KЭ), легко определить полную площадь стенда:

Данное уравнение легко может быть преобразовано с учетом функциональных зон на стенде и их соотношений, указанных в под теме 9.5.
В случае, если экспонент первый раз принимает участие в выставке и еще не имеет старых клиентов, уравнение (5.3) упрощается и принимает вид.

Остановимся на возможных значениях параметров и коэффициентов:
Т – опыт показывает, что при 5 днях работы выставки в первый день стендист может вести переговоры с посетителями с учетом времени на процедуру торжественного открытия в течение 6 ч, во второй – четвертый день по 8 часов и в пятый день с учетом процедуры торжественного закрытия выставки и награждения участников в течение 4 часов, т.е. суммарно на протяжении 34 часов. При 4 днях работы выставки это время составит соответственно 26 часов.
KN – возможные значения – от 0,5 до 1 (последнее значение вероятно лишь при условии, что каждый из старых клиентов приглашен персонально и пришел на стенд).
K0 – возможное значение – в пределах от 0,16 (по мнению американских выставочников) до 0,5 в зависимости от тематики выставки.
n – число возможных контактов в час может достигать 15 с учетом, если удастся за 2–3 минуты квалифицировать каждого из неспециалистов. Реально можно провести до 6 качественных переговоров с потенциальными клиентами в час.
S1 – предположительно в пределах 2–5 кв. м., последнее значение – для обеспечения работы персонала в комфортных условиях.
KS – значения – от 0,2 до 0,5 от площади необходимой для работы экспонента, в зависимости от того, какая площадь отводится для работы одного стендиста.
KЭ – значения – от 0,1 (например, графические работы) до 0,9 (например, крупногабаритный инвентарь) от общей площади стенда.
Укажем на определенные ограничения применимости данных уравнений, в первую очередь формулы (5.1).
При n, равном или большем 6, заданное число переговоров для привлечения новых клиентов N должно быть.

При меньших значениях NK без учета числа переговоров со старыми клиентами для проведения переговоров достаточно одного стендиста.
Однако если выставка специализированная, что до минимума сводит число безрезультатных переговоров, т.е. значение KO – минимально, экспонент заранее пригласил на стенд ограниченное число потенциальных клиентов и поставил цель добиться привлечения конкретного числа новых клиентов, то при

в уравнении (5.3) можно с определенным допущением рекомендовать принять n, равным двум.
Осуществим оценку результативных контактов с клиентами. Как уже подчеркнуто, в зависимости от типа выставки число незаинтересованных посетителей может составлять от 16 до 50%. Из числа посетителей, проявивших интерес к предмету выставки, лишь 20–30% могут рассматриваться как потенциальные клиенты. При этом лишь четверть потенциальных клиентов может быть готова совершить сделку не позднее шести месяцев после проведения выставки, т.е. стать новыми клиентами. С другими клиентами потребуется более продолжительная работа.
Если учесть, что один специалист на стенде может провести в час ограниченное число качественных переговоров с потенциальными клиентами, общее число таких переговоров ограничено временем проведения выставки и, по существу, не зависит от общего числа посетителей. Возможность результативного проведения переговоров определяется не столько количественным значением посетительской аудитории, сколько организацией работы экспонента с целевыми клиентами, как уже имеющимися, так и новыми, в период до выставки и при приглашении их на выставку. Следует подчеркнуть, что устроитель выставки обеспечивает лишь посетителей, а не новых клиентов (покупателей) для фирм экспонентов.
Обозначив N общее число посетителей, K0 – коэффициент переговоров, не приводящих к результату, KП – коэффициент потенциальных клиентов, KР – коэффициент результативности переговоров, определим общее число переговоров, итогом которых будут новые клиенты, с которыми реально заключение контрактов:

Возможные значения коэффициентов:

Если NЭ – число экспонентов на выставке, то среднее возможное число новых клиентов на 1 экспонента может составить

или в час

Как уже отмечалось, экспонент в состоянии в час провести не более шести качественных переговоров с потенциальными клиентами. Однако расчеты показывают, что даже при 100.000 посетителях при учете коэффициентов, указанных в (5.8), вряд ли можно достичь этого значения. Выявляются общие закономерности максимального количества возможных новых клиентов в ходе выставки. Оценим это количество: примем N = 100.000 посетителей.
Возьмем наиболее реальные значения коэффициентов: K0 = 0,25; KN = 0,25; KP = 0,25; Т = 26 ч; NЭ = 100 экспонентов.
Расчеты показывают, что среднее общее число возможных новых клиентов составит:
– за период выставки ≈ 4688;
– в час ≈ 180.
Тогда среднее количество результативных переговоров каждого экспонента, приводящих к привлечению новых клиентов в час, – менее 2.
При этом число таких переговоров одним экспонентом за период выставки (26 ч) около 47.
Это значение приближается к цифре (не более 45), указываемой американскими специалистами [2].
Далее, исходя из поставленных целей, реальной оценки количества приобретенных в ходе выставки новых клиентов, нетрудно оценить стоимость возможной продукции, которая может быть реализована, а также объемы возможных сделок и соответствующий доход компании.