Последовательность проектировочного расчета
1. Определяют величины, входящие в правую часть формулы (3.7), соответственно для прямозубых или косозубых передач; при этом передаваемый момент Т2 входит в число заданных (исходных) величин; коэффициент KHbи допускаемое напряжение [sН] находят по приведенным выше данным; передаточное число u равно отношению чисел зубьев колеса и шестерни; так как z1 и z2 в начале расчета еще не установлены, то принимают

где угловые скорости w1, w2 или частоты вращения n1, п2обусловлены заданием. Если поставлено условие придерживаться стандартных значений и, то следует округлить вычисленное значение и до величины по ГОСТ 2185-66:
1-й ряд: 1; 1,25; 1,6; 2,0; 2,5; 3,15; 4,0; 5,0; 6,3; 8,0; 10,0;
2-й ряд: 1,12; 1,4; 1,8; 2,24; 2,8; 3,55; 4,5; 5,6; 7,1; 9.0; 11,2.
Первый ряд следует предпочитать второму.
Стандартные значения передаточного числа следует рассматривать как номинальные. В дальнейшем при установлении значений z1 и z2 уточняют фактическую величину u.
Коэффициенты ширины венца yba рекомендуется выбирать из ряда по ГОСТ 2185-66: 0,10; 0,125; 0,16; 0,25; 0,315; 0,40; 0,50; 0,63; 0,80; 1,00; 1.25.
Для прямозубых колес рекомендуется ограничивать yba£0,25; для косозубых предпочтительно принимать yba = 0,25 ¸ 0,63, проверяя (при yba < 0,4) выполнение условия
2. Определяют межосевое расстояние aw по формуле (3.7) и округляют его до ближайшего значения по ГОСТ 2185-66 (в мм):
1-й ряд: 40, 50, 63, 80, 100, 125, 160, 200, 250, 315, 400, 500, 630, 800, 1000, 1250, 1600, 2000, 2500;
2-й ряд: 71, 90, 112, 140, 180, 224, 280, 355, 450, 560, 710, 900, 1120, 1400, 1800, 2240.
Первый ряд следует предпочитать второму.
3. Выбирают модуль в интервале (0,01—0,02) aw и выравнивают его по ГОСТ 9563-60* (в мм):
1-й ряд: 1; 1,25; 2; 2,5; 3; 4; 6; 8; 10; 12; 16; 20.
2-й ряд: 1,375; 1,75; 2,25; 2,75; 3,5; 4,5; 7; 9; 11; 14; 18; 22.
Первый ряд следует предпочитать второму.
Для косозубых колес стандартным модулем считают нормальный тп. Для шевронных колес стандартным модулем может быть как нормальный модуль тn так и окружной mt.
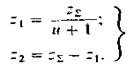
4.Определяют суммарное число зубьев zS = z1 + z2.
Для колес со стандартным окружным модулем (прямозубых и шевронных)
|
Для косозубых и шевронных со стандартным нормальным модулем
|
Угол наклона линии зуба b принимают для косозубых колес в интервале b = 8¸15о, для шевронных b = 25¸40о (до 45о).
5. Определяют числа зубьев шестерни и колеса:
|
По округленным значениям z1и z2 уточняют передаточное число

Расхождение с принятым ранее номинальным передаточным отношением не должно превышать 2,5 % при u £ 4,5 и 4 %при и > 4,5.
После всех указанных округлений необходимо проверить межосевое расстояние: для прямозубых и шевронных колес со стандартным окружным модулем
|
обычно такая проверка подтверждает отсутствие расхождения; для косозубых и шевронных колес с нормальным стандартным модулем
|
При проверке может обнаружиться несоответствие полученного результата с ранее принятым значением aw по стандарту. В этом случае надо устранить расхождение изменением угла b:
|

Вычисление надо выполнять с точностью до пяти значащих цифр. Затем рекомендуется проверить расчеты, определив
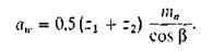
|
с точностью до сотых долей миллиметра, и убедиться, что принятое ранее

6. Возможен иной вариант расчета: задаются числом зубьев шестерни: оно должно быть не меньше zmin по условию отсутствия подрезания: для прямозубых колес

для косозубых и шевронных

Затем определяют

или
|
округляют полученные значения и далее ведут расчет так же, как описано выше.
|
Коэффициент ZМ для стальных колес был определен выше
|
Подстановка этого значения ZМ в формулу (3.4) и значения приводит ее к виду
|
Значения величин, входящих в эту формулу, и единицы их измерения были указаны в пояснениях к формуле (3.4). Но так как в предварительных расчетах коэффициенты Ze и КН определялись ориентировочно, то в проверочных расчетах их необходимо уточнить:
для прямозубых передач
