Технологических специальностей
МОСКОВСКИЙ ГОСУДАРСТВЕННЫЙ УНИВЕРСИТЕТ
ТЕХНОЛОГИЙ И УПРАВЛЕНИЯ
(образован в 1953 году)
Кафедра высшей математики
Барсуков В.И.
МАТЕМАТИКА
УЧЕБНОЕ ПОСОБИЕ В ДВУХ ЧАСТЯХ
ЧАСТЬ 1
Методические указания и контрольные задания
Для студентов – заочников 1-го курса
технологических специальностей
|
| www.mgutm.ru Москва 2010 |
УДК 51
Ó Барсуков В.И. Математика. Учебное пособие в двух частях. Часть 1. Методические указания и контрольные задания для студентов – заочников 1-го курса технологических специальностей - М.: МГУТУ, 2010
Первая часть учебного пособия содержит методические указания и контрольные задания по курсам линейной алгебры, аналитической геометрии, математического анализа.
По каждой теме дано краткое изложение основных теоретических сведений и приведены примеры решения типовых задач, что способствует самостоятельному изучению указанных разделов математики и выполнению контрольных заданий.
Автор: Барсуков В.И.
Рецензент: доктор физико-математических наук, профессор Зуев Ю.А.
Редактор: Свешникова Н.И.
ÓМосковский государственный университет технологий и управления, 2010
109004, Москва, Земляной вал, 73
СОДЕРЖАНИЕ ПЕРВОЙ ЧАСТИ
Введение……………………………………………………………………….…......3
Методические указания……………………………………………………….…….4
Контрольная работа № 1…………………………………………………….………4
Часть 1. Элементы линейной алгебры и аналитической геометрии………..…6
Часть 2. Элементы математического анализа…………………………............43
Часть 3. Функции двух переменных…………………………………...............72
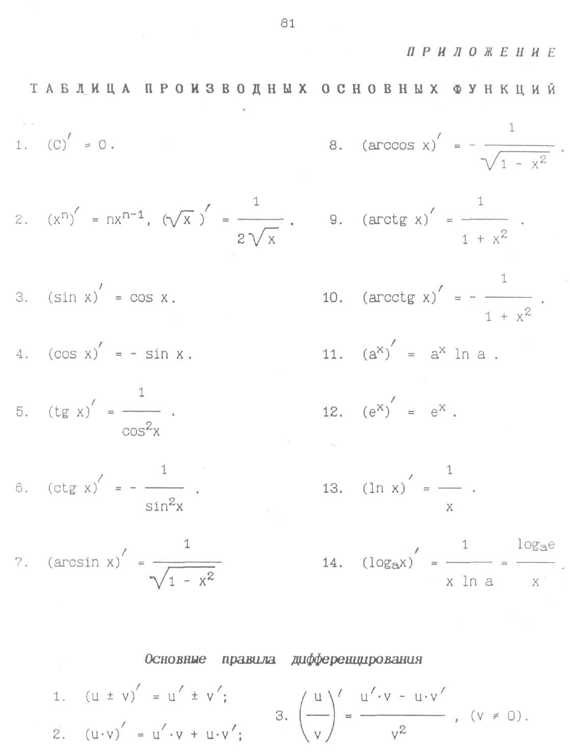
Приложение. Таблица производных основных функций………………….…81
Контрольная работа № 2. Интегрирование……………………………………...82
Приложение. Таблица основных интегралов………………………………….99
Контрольные задания…………………………………………….……………….100
Литература……………………………………………………….…………...........117
|



|
|
|
|
|
|
|
|
|
|
|
|
|
|
|
|
|
|
|
|
|
|
|
|
|
|
|
|
|
|
|
|
|
|
|
|
|
|
|
|
|
|
|
|
|
|
|
|
|
|
|
|
|
|
|
|
|
|
|
|
|
|
|
|
|
|
|
|
|
|
|
|
|
|
|
|
|
|
|
|
|
|
|
|
|
|
|
|
|
|
|
|
|
|
|
|
|
|
|
|
|
|
|
|
|
|
|
|
|
|
ЛИТЕРАТУРА
1. Рублев А.Н. Курс линейной алгебры и аналитической геометрии.
М.: «Высшая школа», 1972
2. Мишина А.П., Проскуряков И.В. Высшая алгебра. М.: Изд. физико- математической литературы, 1962
* 3. Клетеник А.В. Сборник задач по аналитической геометрии. М.: «Наука», 1980
4. Юдин Д.Б., Гольштейн Е.Г. Задачи и методы линейного программирования. М.: «Советское радио», 1961
* 5. Пискунов Н.С. Дифференциальное и интегральное исчисление для втузов. В двух частях. М.: Интеграл-пресс, 2009
* 6. Данко П.Е., Попов А.Г., Кожевникова Т.Я. Высшая математика в упражнениях и задачах. В двух частях. М.: «Высшая школа», 2005
7. Демидович Б.П. и др. Задачи и упражнения по математическому анализу. М.: изд. физ. – мат. литературы, 1961
* 8. Минорский В.П. Сборник задач и упражнений по высшей математике. М.: «Наука», 1978
* 9. Письменный Д.Т. Конспект лекций по высшей математике. В двух частях. М.: «Айрис пресс», 2009
10. Шипачев В.С. Задачник по высшей математике. М.: «Высшая школа», 2001
11. Подольский В.А., Суходский А.М. Сборник задач по высшей математике. М.: «Высшая школа», 1974
12. Мироненко Е.С. Высшая математика. Методические указания и контрольные задания для студентов-заочников инженерных специальностей высших учебных заведений. М.: «Высшая школа», 1998
13. Бать М.И., Джанелидзе Г.Ю., Кельзон А.С. Теоретическая механика в примерах и задачах. Том 1. М.: «Наука», 1964
Для заметок