Расчет неразрезной балки
Задание. Для неразрезной балки (рис. 6) с размерами и нагрузкой, полученными по табл. 6, требуется:
1. С помощью уравнений трех моментов найти опорные моменты и построить эпюры M и Q от постоянной нагрузки, показанной на схеме.
2. Проверить правильность эпюры моментов.
3. Найти реакции опор.
4. Выполнить проверку.
5. Методом моментных фокусов построить эпюры моментов от последовательного загружения каждого пролета и консоли временной нагрузкой qвр.
Таблица 6.
| 1я цифра шифра | L1 м | q2 кН/м | L4 м | 2я цифра шифра | L3 м | q1 кН/м | P2 кН | с м | 3я цифра шифра | L2 м | P1 кН | m кН·м | qвр кН/м |
| 8,0 | 3,0 | 6,2 | 6,8 | 0,8 | 6,0 | 5,5 | 1,2 | ||||||
| 5,2 | 8,2 | 3,2 | 6,4 | 9,0 | 0,6 | 5,8 | 5,6 | 1,4 | |||||
| 5,4 | 8,4 | 3,4 | 6,6 | 8,0 | 1,0 | 5,6 | 5,7 | 9,0 | 1,6 | ||||
| 5,6 | 8,6 | 3,6 | 6,8 | 10,4 | 1,2 | 5,4 | 5,8 | 9,6 | 1,8 | ||||
| 5,8 | 8,8 | 3,8 | 6,0 | 10,5 | 1,4 | 5,2 | 6,0 | 9,8 | 2,0 | ||||
| 4,8 | 9,0 | 4,0 | 4,0 | 10,6 | 1,5 | 5,0 | 6,8 | 9,5 | 2,2 | ||||
| 4,6 | 7,2 | 4,5 | 4,8 | 12,5 | 0,8 | 6,5 | 7,8 | 9,4 | 2,4 | ||||
| 4,4 | 7,4 | 5,5 | 4,5 | 12,8 | 1,0 | 3,5 | 7,5 | 2,6 | |||||
| 6,0 | 7,6 | 5,6 | 4,6 | 6,0 | 1,2 | 6,4 | 7,6 | 2,8 | |||||
| 4,2 | 7,8 | 3,0 | 4,2 | 5,8 | 7,0 | 0,6 | 4,8 | 8,0 | 3,0 |
L1, L2, L3, L4 – длины соответствующих пролетов.
Методические указания
При составлении уравнений трех моментов для определения свободных членов или фиктивных реакций опор следует пользоваться таблицей фиктивных реакций (см.таблицу 7).
Если в пролете действует нагрузка различного вида, то используют принцип суперпозиций.
Когда в балке имеется нагруженная консоль, следует определить момент на крайней опоре и его значение подставить со своим знаком в уравнение трех моментов.
Решив систему канонических уравнений, на опорах откладываются величины опорных моментов и концы ординат последовательно соединяют между собой. Так получают эпюру Моп. Окончательную эпюру моментов строят по формуле
Проверка эпюры М выполняется также как для любой статически неопределимой рамы (системы).
Эпюра Q строится с использованием формулы
Если в пролете эпюра М прямолинейная, то можно использовать зависимость
Q=tgα.
Эпюры изгибающих моментов от временной нагрузки (qвр) следует строить в следующем порядке:
а) эпюра М от загружения левой консоли (если она имеется) временной равномерно распределенной нагрузкой;
б) эпюра М от загружения первого пролета временной нагрузкой и т.д.
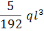
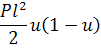
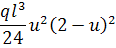
Таблица 7
Таблица фиктивных реакций
| № п/п | Схема загружения | АФ | ВФ |
|
|
| |
|
|
| |
| при u=v=0,5 | |||
|
| ||
|
|
| |
| при u=v=0,5 | |||
|
| ||
|
|
| |
| при u=0,25 | |||
|
| ||
|
|
| |
|
|
| |
|
|
| |
| t wx:val="Cambria Math"/><w:i/><w:sz w:val="28"/><w:sz-cs w:val="28"/></w:rPr><m:t>2</m:t></m:r></m:sup></m:sSup></m:e></m:d></m:oMath></m:oMathPara></w:p><w:sectPr wsp:rsidR="00000000" wsp:rsidRPr="00996BB0"><w:pgSz w:w="12240" w:h="15840"/><w:pgMar w:top="1134" w:right="850" w:bottom="1134" w:left="1701" w:header="720" w:footer="720" w:gutter="0"/><w:cols w:space="720"/></w:sectPr></wx:sect></w:body></w:wordDocument>">
|
| |
| при u=v=0,5 | |||
|
|





Приложение 1
Пермский национальный исследовательский политехнический университет
Строительный факультет
Кафедра строительной механики и вычислительных технологий
Расчетно-проектировочная работа №1
по дисциплине
СТРОИТЕЛЬНАЯ МЕХАНИКА