Показательная функция, ее свойства и график.
Вспомним основные свойства степени. Пусть
,
,
- любые действительные числа. Тогда

В практике часто используются функции
,
,
,
и т.д., т.е. функция вида
, где
- заданное число,
- переменная. Такие функции называются показательными. Это объясняется тем, что аргументом показательной функции является показатель степени, а основанием степени – заданное число.
Определение. Показательной функциейназывается функция
, где
- заданное число,
.
Свойства показательной функции:
10.
. (Это свойство следует из того, что степень
, где
, определена для всех
)
20.
.
30. Показательная функция
является возрастающей на множестве всех действительных чисел, если
, и убывающей, если
.(следует из свойств 8 и 9) .
Построим графики функции
и
, используя рассмотренные свойства и построив несколько точек, принадлежащих графику.

График функции
проходит через точку
и расположен выше оси Ох. Если
и убывает, то график быстро приближается к оси Ох (но не пересекает его); если
и возрастает, то график быстро поднимается вверх. Такой же вид имеет график любой функции
, если
.

График функции
также проходит через точку
и расположен выше оси Ох. Если
и возрастает , то график быстро приближается к оси Ох (но не пересекает его); если
и убывает, то график быстро поднимается вверх. Такой же вид имеет график любой функции
, если
.

Показательная функция часто используется при описании различных физических процессов. Так, радиоактивный распад описывается формулой
, где \
- масса радиоактивного вещества в момент времени
;
- масса радиоактивного вещества в начальный момент времени
,
- период полураспада (промежуток времени, за который первоначальное количество вещества уменьшается вдвое).
С помощью показательной функции выражается давление воздуха в зависимости от высоты подъема, ток самоиндукции в катушке после включения постоянного напряжения и т. д.
Задача 1. Решить уравнение
.
Решение. По свойству 20 показательной функции данное уравнение имеет корень,
т.к.
. Одним из корней является число
, так как
. Других корней нет, так как функция
возрастает на всей числовой прямой, и поэтому
при
и
при
.

Ответ:
.
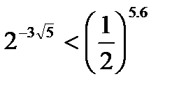
Задача 2.Сравнить числа
и
.
Решение. Второе число запишем в виде степени с основанием 2 и получим:
.Сначала сравним показатели степеней. Так как
, то
. Функция
является возрастающей. Поэтому большему значению аргумента соответствует большее значение функции. Тогда имеем:
или
, т.е. второе число больше.
