ЛИЧНОСТЬ, КУЛЬТУРА И ОБЩЕСТВО В СОЦИОЛОГИЧЕСКОМ РАССМОТРЕНИИ


Глава 14.


 

Общество как целостная, динамично развивающаяся

система


Основные положения

1. В социологическом рассмотрении общество предстает как
исторически развивающаяся целостная система отношений и взаи­
модействий между людьми и их общностями, складывающаяся в
процессе их совместной деятельности.
Итак, общество - это дина­
мично развивающаяся целостная система социальных взаимодейст­
вий, в которые включены индивиды и их различные общности — се­
мейные, профессиональные, территориальные и т.п., составляющие в
своей совокупности целостную систему. Его основные социальные
характеристики: I) системность; 2) динамизм; 3) целостность.

2. Общество обладает отличительными признаками, совокуп­
ность которых определяют его специфику. Эти признаки таковы:

 

1) социальность, выражающая общественную сущность жизнедея­
тельности людей, социальную специфику их отношений и поступков;

2) взаимодействия между людьми;

 

3) наличие территории, на которой происходят социальные
события и процессы;

4) функционирование общества в определенном социальном
пространстве и социальном времени;

5) самопознание, самоутверждение и саморегуляция социаль­
ных процессов;

6) наличие социальных институтов, осуществляющих саморе­
гуляцию общества;

7) все события и изменения в обществе не осуществляются без
сознания воли и деятельности людей;


К) наличие в обществе социальной структуры.

3. Общество обладает сложной многокомпонентной структу­
рой. Эта структура имеет сложный иерархический характер, в ней в
качестве основных системообразующих выступают:

1) несколько подсистем, составляющих в своей совокупности
с т. юму общества;

2) несколько структурных компонентов, тесно взаимодейст­
вующих с основными подсистемами общества и частично включен­
ных в них, а частично выходящих за их пределы.

Общество функционирует и развивается в качестве единой и Hi-постной системы, в которой органично взаимосвязаны четыре ос­новных подсистемы. Они таковы:

1) экономическая',

2) социальная;

3) политическая;

4) социокультурная

Взаимодействие этих четырех подсистем составляет первый системообразующий ярус сложно структурированной системы обще­ства. Но общество не может быть безличностным, в нем всегда взаи­модействуют люди, являющиеся субъектами социальных процессов и шаимодействий, создающие своими активными действиями не только определенные, жизненно необходимые им блага (продукты питания, одежду, жилища, транспортные средства, художественную литерату­ру, музыкальные произведения и т.п.), но и само общество, его струк-iypy и особенности.

4. В процессе активной деятельности люди включаются в одну
или несколько подсистем единой и целостной системы общества и,
гесно взаимодействуя друг с другом, образуют вполне определенные
структурные компоненты общества. Основными из таких компонен­
тов являются следующие:

1) множество индивидов, являющихся неповторимыми личностями;

2) социальные статусы, занимаемые людьми в обществе;

3) социальные роли, выполняемые людьми в обществе в соот­
ветствии с их статусами;

4) социальная структура, .включающая в себя социальные
с фаты (рабочие, крестьяне, предприниматели, служащие и т.п.), тер-
риюриальные, этнонациональные и иные общности;

5) социальные взаимодействия людей, обладающих определен­
ными социальными статусами и социальными ролями и принадлежа­
щих к определенным социальным слоям, территориальным и иным
социальным общностям;


6) социальные институты и организации, придающие общест-| ву целостность и устойчивость: семья, государство, школа, церковь,| милиция и т.п.

5. Структурные компоненты непрестанно взаимодействуют!
друг с другом и функционируют в единой целостной системе соци-J
альных процессов, действий и отношений, составляющих в своей со-'
вокупности общество. В этой системе различные типы социальных
структур: внутриличностных, межличностных, групповых, институ­
циональных и т.п. органично взаимосвязаны с типами социальных
общностей (семейных, территориальных, этнонациональных, профес­
сиональных и т.д.), а также с выполняемыми индивидами и группами
социальными ролями, их социальными статусами и позициями.

6. При всей своей устойчивости и целостности система общест­
ва не остается раз и навсегда данной в процессе исторического разви­
тия. В процессе такого развития общество проходит различные этапы,
порождающие различные типы общественного устройства. Поэтому
важное значение имеет типология общества. В середине XIX века
К. Маркс предложил свою типологию общества, которая исходит из
первенствующей роли способа производства в определении сущности
общественно-экономической формации, которая, в свою очередь,
обусловливает тип общества:

1) первобытно-общинный;

2) рабовладельческий;

3) феодальный;

4) капиталистический;

5) коммунистический.

Во второй половине XIX - начала XX века трудами О. Конта, Г. Спенсера, Э. Дюркгейма, А. Тойнби и других социологов утвержда­ется идея о двух основных этапах общества: традиционном (военном) и индустриальном (промышленном). Во второй половине XX века в западной социологии работами А. Белла, Р. Арона, Ж. Фурастье, Дж. Гэлбрейта и др. создана трехступенчатая типология обществ. В этой теоретической конструкции выделяются три типа общества: аг-рарно-ремесленное, индустриальное и постиндустриальное.

Если интегрировать приведенные классификации в единую кар­тину социальной динамики, то мы получим четырехэтажную панораму развития типов обществ: первобытное (архаичное), аграрно-ремесленное, индустриальное, постиндустриальное (информационное).

7. Рассмотрение различных этапов и типов развития общества,
их отличительных особенностей приводит к выводу, согласно кото­
рому в общественном развитии существуют определенные историче­
ские тенденции и закономерности. Выделим из них три основных:
92



 



 


Организация игры:

1. Студенческая группа подразделяется на дискуссионные
i руппы по пять-шесть человек в каждой.

2. Каждой группе предлагается дать определение (устно) сле-
чующих понятий по изучаемой теме: «общество», «социальная систе­
ма», «социальный институт», «социальная структура», «социальный
статус», «тип общества», «социальная закономерность». После того,
как содержательные признаки данных понятий обсуждены внутри
i руппы (10 минут), один из представителей группы озвучивает ре-
(ультаты работы, а представители других групп могут вносить свои
дополнения, коррективы, выражать аргументированно свое несогла­
сие. После этого преподаватель комментирует итоги работы каждой
i руппы и дает им оценку.

3. На втором этапе каждая группа получает термино-карту, со­
стоящую из 6-8 ключевых понятий, содержащихся в данном учебном
пособии, например:

Общество — исторически развивающаяся система отношений и взаимодействий между людьми, их общностями и организациями, складывающаяся и изменяющаяся в процессе их совместной деятель­ности.

Социальная система — единое целостное образование, со­стоящее из множества социальных компонентов (отношений, взаимо­действий людей, имеющихся в обществе структур, норм и т.п.), не сводимое к сумме качеств составляющих его элементов.

Социальный институт — сравнительно высокоорганизованная система социальных отношений, взаимодействий, отличающаяся ус­тойчивой социальной структурой, глубокой интегрированностью сво­их элементов, многообразием и динамичностью их функций, осуще­ствляемых посредством рационально установленных и целесообразно ориентированных стандартов поведения, предопределенных содержа­нием решаемой социальной задачи.

Социальная структура общества — совокупность различных по численности, социальному положению в системе общественных отно­шений относительно устойчивых социальных групп, общностей, их социальных позиций и взаимодействий между ними.

Социальный статус — соотносительное положение (позиция), чанимаемое личностью или группой в обществе в соответствии с соци­ально-экономическим положением (доходом), профессией, политиче­скими возможностями, полом, происхождением и др.

Тип общества — обобщенное абстрактное отражение наиболее важных, повторяющихся, существенных качеств, отличающих одно общество от другого.


Социальная закономерность — объективно существующая, по-'. вторяющаяся связь существенных свойств, социальных явлений и процессов, выражающая возникновение, функционирование и разви­тие общества как целостной социальной системы или его отдельных подсистем.

Задача каждой группы — за 10-15 минут усвоить эти новые по­нятия, выделив в них основные отличительные признаки. Для того чтобы активизировать такое усвоение, участники игры поочередно устраивают друг другу экзамен: воспроизводят своими словами опре­деление того или иного понятия, отвечают на вопрос, касающийся основных признаков изучаемых понятий.

Каждая группа составляет в течение следующих 10 минут связ­ный текст (социологическая информация, сообщение, рекламное со­общение, социальная характеристика личности и т.п.), который будет оцениваться по следующим критериям:

• Количество использованных понятий, вошедших в термино-
карту.

• Точность в употреблении понятия, количество правильно ис­
пользованных понятий.

• Занимательность текста и исполнительское мастерство про­
чтения.

Оценка итогов игры производится по пятибалльной системе

От каждой группы в экспертную комиссию приглашается один из участников. Экспертная комиссия оценивает в соответствии с вы­шеназванными критериями доклад каждой группы.

После проведения игры участникам, успешно справившимся с заданием, ставится оценка по теме занятий.


1.

2. 3.

4.

5.


Вопросы по теме главы

Каковы основные социальные характеристики общества как целостной системы?

В чем состоят отличительные признаки общества? Система общества является сложно структурированной. Какие подсистемы входят в состав этой системы, каким образом они взаимодействуют друг с другом?

Основные подсистемы общества тесно взаимодействуют не толь­ко друг с другом, но и с рядом других структурных компонентов, существующих в обществе. Назовите эти компоненты и покажите, как они влияют друг на друга.

Как связаны в системе общества различные типы социальных структур с типами социальных особенностей?



6. Общество в своем историческом развитии проходит ряд этапов,
которые, в свою очередь, порождают различные типы обществен­
ного устройства. Охарактеризуйте известные Вам этапы общест­
венного развития. Расскажите, какие существуют различные точ­
ки зрения относительно существования закономерностей соци­
ального развития. Одни мыслители признают наличие закономер­
ностей развития общества (О. Конт, К. Маркс, П. Сорокин), дру­
гие (Ж.-П. Сартр, Дж. Г. Мид) - это отрицают.

Какую позицию в этом вопросе Вы считаете верной?

7. Существует большое расхождение во мнениях о социальном про-

грессе. Многие исследователи (Ж.-Ж. Руссо, Дж. Вико, Ж. Дерри-да) отрицают наличие социального прогресса в истории развития общества и предлагают исключить рассмотрение этого вопроса из социологической проблематики. Другие (Гегель, К. Маркс, В. Ле­нин) утверждают, что существует социальный прогресс в разви­тии общества. Какая из приведенных позиций, по Вашему мне­нию, является правильной? Какими аргументами можно подтвер­дить правильность данной позиции?

Литература

1. Бабосов Е.М. Общая социология. Мн., 2002. Гл. 12. Общество как цело­
стная динамическая система.

2. Гидденс Э. Социология. М., 1999. Гл. 2. Культура и общество.

3. Кравченко А.И. Социология. М., 2001. Разд. 2. Гл. 1. Определение и
строение общества. Гл. 4. Исторические ступени общества.

4. Луман Н. Понятие общества // Проблемы теоретической социологии.
СПб., 1994.

5. Луман Н. Теория общества // Теория общества. М., 1999.

6. Парсонс Т. Понятие общества: компоненты и их взаимоотношения //
Американская социологическая мысль. Тексты. М., 1996.

7. Сорокин П. Социальная и культурная мобильность. Разд.: Социальное
пространство, социальная дистанция, социальная позиция // Человек.
Цивилизация. Общество. М., 1992.

8. Сорокин П. Социологический этюд об основных формах общественного
поведения и морали // Человек. Цивилизация. Общество. М, 1992.

9. Тадевосян Э.В. Общество как социальная реальность // Социология / Под
ред. Э.В. Тадевосяна. М., 1995. Гл. 1, 4.

4 3ак. 41 97


Глава 15,


 

Социально-стратификационная структура общества


 


15.1


Основные положения


1. Общество как целостная система - структурировано, а одним
из важнейших срезов этой структурированности является социально-
стратификационная структура. Социально-стратификационная
структура общества есть совокупность различных по численности,
социальному положению в системе общественных отношений отно­
сительно устойчивых форм социальных групп, общностей, слоев
(страт), их социальных позиций и взаимодействий между ними.
Важ­
нейшая отличительная ее особенность состоит в том, что она тождест­
венна системным (эмерджентным) свойствам комплекса составляющих
ее элементов, но отнюдь не свойствам отдельных ее элементов.

2. Исходной «клеточкой» социально-стартификационной струк­
туры является социальная группа. Это — совокупность людей, кото­
рые определенным образом взаимодействуют друг с другом,
осознают свою принадлежность к данной группе и считаются чле­
нами данной группы с точки зрения других.
Характерными чертами
социальной группы являются:

 

1) способ взаимодействия между членами;

2) осознание членства, принадлежности к данной группе;

3) осознание единства членов группы.

 

3. В социологии различают первичные и вторичные группы.
Первичные — такие группы, которые характеризуются тесными, непо­
средственными связями и сотрудничеством (семья, игровая группа
детей, соседство). Вторичные группы характеризуются отсутствием
непосредственных эмоциональных связей, взаимодействия в них обу­
словлены стремлением к определенным целям, в них главную роль
играют не личностные качества людей, а их умение выполнять опре­
деленные функции.

4. Наряду с первичными и вторичными группами социологи
различают: условные группы, в которых объединены условно, в инте­
ресах научного анализа, люди, реально не взаимодействующие между
собой, но представляющие определенную общность, обладающую
сходством каких-либо признаков (половых, возрастных и т.п.). На­
пример, женщины Беларуси, белорусские студенты; лабораторные
группы,
в которых люди, не знающие друг друга и не взаимодейст­
вующие между собой, объединяются исследователем для проведения


жсперимента; реальные группы, в которых люди объединены реаль­ными отношениями и взаимодействиями (школьный класс, футболь­ная команда); квазигруппы, которые образуются из случайно оказав­шихся вместе, не связанных реальными взаимодействиями людей (аудитория, толпа, социальные круги).

5. Важнейшее значение имеет дифференциация социальных
групп на малые и большие. Малая группа - это относительно неболь­
шое число индивидов, непосредственно взаимодействующих друг с
другом и объединенных общими целями, интересами, ценностными
ориентациями. Малые группы подразделяются на формальные, в ко­
торых четко определены позиции и роли их членов, руководствую­
щихся определенными групповыми нормами и ожиданиями (армей­
ский взвод) и неформальные, складывающиеся стихийно, характери­
зующихся отсутствием предписанных статусов, ролей, властных от­
ношений (группа друзей, компания сверстников). Специфический вид
малой группы -референтная группа, в которую индивиды не вклю­
чены реально, но с которой соотносят себя как с эталоном и на нор­
мы,, ценности, оценки, мнения которой ориентируются в своем пове­
дении - подражание подростков поведению группы рокеров, богемы
и т.п.

6. Большая группа - реальная, значительная по размерам и
сложно организованная общность людей, вовлеченная в обществен­
ную деятельность и соответствующую систему общественных отно­
шений (коллектив вуза, предприятия, население страны или города,
например, москвичи, минчане, украинцы).

7. Наряду с социальными группами в обществе существует
дифференциация людей по определенным социальным общностям. В
зависимости от того, по каким признакам объединяются люди и их
группы в социальные общности, последние подразделяются на раз­
личные виды. Основными видами социальных общностей являются:

1) семейные;

2) профессиональные;

3) социально-стратификационные (рабочие, крестьяне, пред­
приниматели и т.п.);

4) этнонациональные (белорусы, русские, чукчи и т.п.);

5) территориальные (горожане, сельчане, псковичане);

6) вероисповедальные (христиане, православные, католики, му­
сульмане);

7) культурные и субкультурные (поклонники классической му­
зыки, поп-музыки и др.);

8) политические (члены коммунистической или либерально-
демократической партии и т.п.).


8. На протяжении многих веков в истории человечества ре­
шающую роль в социальной динамике играла социально-классовая
дифференциация общества, проистекающая из социального неравен­
ства
людей. Дифференциация людей и их групп на социальные слои
(страты) и классы, характеризующиеся неравенством в области до­
ходов, образования, профессии, участия во властных структурах и
т.д. называется социальной стратификацией.

Социальная стратификация обладает несколькими признаками, наиболее существенные из которых состоят в следующем:

1) в процессе стратификации происходит дифференциация лю­
дей на высшие и низшие слои, страты, классы;

2) стратификация разделяет людей на привилегированное
меньшинство (знать, богатые) и ущемленное в каком—либо отноше­
нии большинство (мало обеспеченные, не имеющие доступа к власти
и т.п.);

3) стратификация приводит к возникновению у низших и
ущемленных слоев стремления продвинуться в более обеспеченные,
привилегированные слои, что порождает социальные противоречия и
конфликты.

9. Существует определенный набор критериев (признаков), по
которым осуществляется социальная стратификация. П. Сорокин вы­
делил три таких критерия:

1) уровень дохода (богатые и бедные);

2) политический статус (имеющие власть и не имеющие ее);

3) профессиональные роли (учителя, инженеры, врачи и т.д.).

Т. Парсонс дополнил эти признаки новыми критериями:

1) качественные характеристики, присущие людям от рождения
(национальная принадлежность, пол, родственные связи);

2) ролевые характеристики (должность, уровень знаний, про­
фессиональной подготовки и т.п.);

3) «характеристики обладания» (наличие собственности, мате­
риальных и духовных ценностей, привилегий и т.д.).

Обобщение названных критериев позволяет представлять про­цесс социальной стратификации в качестве многопланового расслое­ния людей и групп в обществе по признакам владения (или невладе­ния) собственностью, властью, определенными уровнями образования и профессиональной подготовки, этническими признаками, половоз­растными характеристиками, социокультурными критериями, поли­тическими позициями, социальными статусами и ролями.

10. Социальные слои и классы находятся в процессе изменений
и развития. Совокупность таких изменений П. Сорокин назвал соци-


u мобильностью, т.е. подвижностью слоев и классов. Социаль­ная мобильность - это изменение индивидом или группой места в (■оциальной структуре общества, перемещение из одного социального положения в другое.

Социальная мобильность реализуется в обществе в различных 1ипах и видах. По пространственным характеристикам она подразде-ияется на горизонтальную (перемещение индивида или группы из одной социальной позиции в другую на том же стратификационном уровне) и вертикальную (перемещение индивида или группы из одно-i о социального пласта в другой, расположенный в стратификацион­ной иерархии выше или ниже первого). Вертикальная мобильность бывает двух видов: восходящая (социальный подъем из одного слоя в другой, более высокий) и нисходящая (социальное нисхождение в более низкий социальный слой).

По скорости протекания стратификационные перемещения бы­вают медленные и быстрые; по плопиюсти изменений они делятся на индивидуальные и групповые

11. В условиях кризисного перехода от одной социально-экономической системы к другой в постсоветских обществах проис­ходит деконструкция критериев социальной стратификации. Решаю­щую роль в них приобретают:

а) владение капиталом, приносящим прибыль;

б) причастность к перераспределению общественного богатства в
результате разгосударствления и приватизации собственности;

в) уровень личного дохода и потребления.

Все эти три показателя в обобщенной форме могут быть пред­ставлены как материальная обеспеченность, приходящаяся на душу населения в месяц, исчисляемая в долларах. Именно такую методику используют российские социологи (Н.М. Римашевская), считающие, что к богатым следует отнести людей, обладающих уровнем текущего дохода в расчете на душу населения, превышающем 3000 долларов, а к бедным - тех, кто обладает месячным доходом менее 50 долларов. Нсли применить такую методику расчетов, то по названным критери­ям стратификация населения Беларуси выглядит в начале XXI века следующим образом:

1) богатые люди, обладающие доходом более 3 тыс. дол. в ме­
сяц в расчете на душу, составляют 1,5 - 2% от общей чис­
ленности населения;

2) состоятельные (доход от 3 до 1 тыс. дол. на душу населе­
ния)-9-10%;

3) обеспеченные (доход от 1000 до 500 дол.) - 12%;


4) среднеобеспеченные (300-100 дол.) — 14%;

5) малообеспеченные (100-50 дол.) - 44%, в том числе нищие
(социальное дно) - 7%.

 

12. По социально-статусным критериям на вершине стратифи­
кационной иерархии находится высший спой (богатые предпринима­
тели и высшие должностные лица в ранге министра и выше). За ними
на ступень ниже располагается высший средний слой — средние и мел­
кие предприниматели, директора, популярные художники, артисты,
телекомментаторы, крупные ученые, владельцы частных больниц,
стоматологических кабинетов и т.д. На ступеньку ниже располагается
средний слой - профессура, врачи и юристы, имеющие частную прак­
тику, руководители отделов служб крупных, эффективно работающих
предприятий, старшие офицеры и т.д. Еще ниже на одну ступеньку
находится низший средний слой - учителя, врачи, рядовые инженеры,
работники учреждений культуры, младшие офицеры, квалифициро­
ванные рабочие и т.п. Следующую ступеньку занимает низший слой -
малоквалифицированные рабочие, крестьяне, служащие, сержантский
состав вооруженных сил и правоохранительных органов. Особое ме­
сто в стратификационной структуре занимают паразитические слои -
мафиозные группы, рэкетиры, грабители, вымогатели, участники бан­
дитских формирований, колдуны, гадалки, проститутки. Они могут
принадлежать к различным группам по уровню богатства, в том числе
и самым высоким, но социальный их статус в обществе невысок, а
поэтому часто маскируется под другие статусы. Самую низшую сту­
пень в сратификационной лестнице занимают маргинальные слои -
опустившиеся на социальное дно из различных социальных групп
нищие, бомжи, беженцы, вынужденные переселенцы, беспризорные
подростки и т.п.

13. В стратификационной динамике важное значение имеют
социокультурные критерии. Наиболее важными из них являются:

 

1) этнонациональные (дифференциация на белорусов, русских,
украинцев и т.п.);

2) мировоззренческие (верующие, неверующие, колеблющиеся
между верой и неверием, атеисты);

3) религиозно-конфессиональные (православные, католики, про-

тестанты, мусульмане и др.);

4) образовательные (лица с высшим, средним, неполным сред­
ним образованием);

5) социокультурные (приверженцы народной, элитарной, мас­
совой культуры, субкультуры и т.п.);



 



 


2. Назовите определение социальной группы. Объясните, почему
именно социальная группа является исходной "клеточкой" соци­
ально-стратификационной структуры общества.

Назовите характерные черты (особенности) социальной группы. Приведите примеры из жизни различных социальных групп, в том числе и своей студенческой, в которых проявляются назва­ные особенности.

3. Охарактеризуйте особенности первичных и вторичных социаль­
ных групп. Объясните, почему одни из них являются первичны­
ми, а другие - вторичными социальными группами.

4. Опишите особенности условных групп, приведите примеры та­
ких групп из жизни и литературы. Покажите, в чем состоит раз­
личие условных и реальных социальных групп. Объясните, по­
чему вторые называют реальными, в чем состоят особенности
квазигрупп.

5. Опишите особенности малой социальной группы. Объясните, ка­
кую роль эта группа играет в жизни человека и общества. Рас­
скажите, чем отличаются формальные группы от неформальных.
Приведите примеры, позволяющие уяснить это различие. Дайте
характеристику особенностей референтных групп. Объясните,
какую роль они могут сыграть (положительную, отрицательную)
в жизни человека.

6. Охарактеризуйте особенности больших социальных групп, при­
ведите примеры функционирования таких групп.

7. Расскажите, что представляют из себя социальные общности.
Дайте характеристику известных Вам социальных общностей.

8. Дайте определение социальной стратификации. Охарактеризуйте
наиболее существенные признаки социальной стратификации.

9. Назовите основные критерии, по которым осуществляется про­
цесс социальной стратификации.

 

10. Приведите примеры социальной мобильности. Назовите, по ка­
ким параметрам осуществляется классификация социальной мо­
бильности на различные типы и виды.

11. Назовите, по каким критериям (признакам), осуществляется иму­
щественная дифференциация в современном постсоветском - бе­
лорусском и российском обществе. На основе примеров из
личного опыта, из сообщений газет, радио, телевидения назови­
те, кого сегодня можно отнести к богатым, состоятельным, бед­
ным и другим слоям общества.

12. Расскажите, на какие социальные слои дифференцируется совре­
менное общество по социально-статусным критериям. Кого


можно отнести к высшему слою, кого - к среднему, кого - к низшему, кого - к маргинальному и т.п.

13. В социально-стратификционной динамике современного общест­
ва существенное значение имеет дифференциация индивидов и
социальных групп по социокультурным критериям. Как они дей­
ствуют в современных условиях?

14. Ответьте на вопрос: всегда ли дифференцация людей по имуще­
ственным или социально-стратификационным критериям совпа­
дает с их дифференциацией по социокультурным признакам.

Литература

1. Бабосов Е.М. Деконструкция панорамы и критериев стратификации в пост­
советском обществе // Динамика социальных процессов в условиях государ­
ственной независимости Беларуси: социологической анализ. Мн., 1999.

2. Бабосов Е.М. Беларусь после "Беловежского развода". Как и почему
происходит расслоение нашего общества // Беларуская думка. 1996. № 1.

3. Беляева Л.А. Средний класс российского общества: проблемы обретения
социального статуса//Социологические исследования. 1993. № 10.

4. Блау П.М. Различные точки зрения на социальную структуру и их общий
знаменатель//Американская социологическая мысль. Тексты. М., 1996.

5. Гидденс Э. Стратификация и классовая структура // Социология. М., 1999.

6. Кули Ч. Первичные группы // Американская социологическая мысль.
Тексты. М., 1996.

7. Комаров М.С. Социальные группы и их роль в общественной жизни; Соци­
альная стратификация и классы // Введение в социологию. М. 1994, гл. 1,4.

8. Кравченко А.И. Социальная стратификация // Социология. М., 2001.
Разд. Гл. 2. Социальная мобильность и миграция.

9. Кравченко А.И. Социальная стратификация // Там же. Гл. 5.
Ю.Мертон Р.К. Социальная теория и социальная структура // Социологиче­
ские исследования. 1992. № 2.

11. Парсонс Т. Функциональная теория изменения // Американская социоло­
гическая мысль. Тексты. М., 1996.

12. Попова И.П. Новые маргинальные группы в российском обществе. //
Социологические исследования. 1999. №7.

13. Римашевская Н.М. Социальные последствия экономических трансфор­
маций в России // Социологические исследования. 1997. №6.

14. Сорокин П. Социальная и культурная мобильность. Разделы: "Социальная
стратификация", "Экономическая стратификация", "Политическая страти­
фикация", "Профессиональная стратификация", "Социальная мобильность,
ее формы и флуктуации" // Человек, цивилизация, общество. М., 1992.

15. Тихонова Н.Е. На пути к новой стратификации российского общества //
Социологические исследования. 1998. №3.

16. Фролов С.С. Социальные слои, страты, классы // Социология. М., 1996.
Гл. 13.


Глава


 

Социально-территориальная структура общества


 


16.1


Основные положения


1. Социально-территориальная структура общества представля-
ci своеобразную социальную сеть, в состав которой входит два ос­
новных компонента:

1) территориально-предметная совокупность жилищ (город,
село), транспортных и иных коммуникаций;

2) поселенческая общность — совокупность людей, которые
имеют общее более или менее постоянное место жительства.

2. Поселенческая структура - город, деревня, поселок, — отли­
чается от простой суммы множества составляющих ее домов и про­
живающих в них людей, транспортных коммуникаций, средств связи
и т. п., и выступает в качестве социального организма, приобретающе­
го свойства целостности (эмерджентности), не сводимых к сумме со­
ставляющих ее частей.

3. Каждая поселенческая структура представляет собой непо­
средственную среду жизнедеятельности людей и, включая в себя со­
вокупность условий труда, учебы, культуры, быта и т. п., самым пря­
мым образом определяет меру возможностей социального развития
индивида.
Вся совокупность условий жизнедеятельности индивидов и
социальных групп, а также возможностей социального развития лич­
ности определяется взаимодействием разнообразных факторов. Среди
них наиболее существенную роль играют четыре типа факторов:

1) производственная деятельность (среда);

2) непроизводственная среда;

3) природная среда обитания;

4) искусственно созданная человеком среда.

Из этих четырех факторов город имеет преимущества перед другими типами поселений по трем из них: 1)условия труда;

2) условия непроизводственной сферы;

3) искусственно созданная среда и ее благоустроенность, но ус­
тупает деревне только в одном - в благоприятности природной среды.

4. В социологи важное значение придается выяснению соци­
альных преимуществ города как специфического типа поселения. Го­
род
представляет собой исторически сложившуюся социально-
территориальную и поселенческую общность, обладающую поли-


структурностью, доминированием высокоразвитой искусственной материально-вещественной среды над природной, концентрирован­ным типом социально-территориальной организации людей, которая характеризуется разнообразием производственной и непроизводст­венной деятельности населения, спецификой его состава и образа жизни. Для города характерны:

1) разнообразие трудовой деятельности в промышленности,
строительстве, на транспорте, в связи, в сфере услуг и т. п.;

2) многообразие непроизводственной деятельности — в образо­
вании, культуре, науке и т. д.;

3) социальная и профессиональная неоднородность населения:
рабочие, инженеры, предприниматели, учителя, врачи, актеры и т. п.;

4) мощное развитие транспортных, телефонных и других
средств коммуникации;

5) наличие органов, выполняющих властные, управленческие и
исполнительские функции — мэрия, городской совет депутатов, гор-
(рай) отделы милиции, суд, прокуратура, банки, различные учрежде­
ния;

6) развитие специфического городского образа жизни, преобла­
дание анонимных, деловых, кратковременных контактов в межлично­
стном общении, затухание соседских связей.

5. В отличие от города деревня характеризуется доминировани­ем природных условий над искусственной материально-вещной сре­дой, рассредоточенным типом социально-пространственной органи­зации людей, значительным однообразием их производственной дея­тельности, сосредоточенной, главным образом, в сфере сельского хо­зяйства. Деревня отличается от города также длительностью закреп­ления одних и тех же функций, ограниченностью и бедностью воз­можностей социокультурного развития. Социальное своеобразие де­ревни выражается в следующих особенностях:

1) подчиненность трудовой деятельности ритмам и циклам
природы, более тяжелые условия труда, неравномерность трудовой
занятости в различные времена года;

2) меньшая, чем в городе, степень социально-экономического и
технического развития;

3) преимущественно малая плотность населения и небольшое
число жителей;

4) малочисленность видов трудовой деятельности и обуслов­
ленная этим значительно большая, чем в городе, социальная и про­
фессиональная однородность населения;

5) меньшие условия и возможности образовательного и социо­
культурного развития;


6) достаточно высокая стабильность населения;

7) специфика деревенского образа жизни, тесная связь жизне­
деятельности с землей, слабо развитая трудовая мобильность, важная
роль традиций, обычаев, местных авторитетов, общественного мне­
ния сельчан.

6. В индустриальном и постиндустриальном обществах нарас-
тющими темпами развивается урбанизация. Урбанизация (от лат. ur-
banis) — процесс сосредоточения населения, экономической, политиче­
ской и культурной жизни в городах и связанного с этим возрастания
роли городов в развитии общества, в распространении черт и особен­
ностей городского образа жизни на все общество, в том числе и на
сельскую местность. Основными признаками урбанизации являются:

а) возрастание доли городского населения;

б) высокая плотность и степень размещения сети городов по
территории страны;

в) транспортная и другая доступность крупных городов для на­
селения других поселенческих структур;

г) возрастающее разнообразие видов трудовой и досуговой дея­
тельности населения.

О темпах урбанизации можно судить по таким фактам: в 1970 сельское население составляло в Беларуси большинство (57%), а в 1999 г. соотношение городского и сельского населения составляло в республике 63: 31%. По сравнению с 1959 г. численность городского населения в Беларуси возросла на 284% т.е. почти втрое, а сельского — снизилась на 55%, т.е. вдвое. Урбанизация - это отнюдь не механиче­ское изменение численности городского и сельского населения в пользу первого. Переезд в крупный город создает для множества лю­дей обширные возможности различного трудоустройства, приобще­ния к социальным и культурным благам, а следовательно, к многооб­разным социально-стратификационным трансформациям.

7. Кроме городских и сельских поселенческих структур важ­
ную роль в динамике социально-территориальной стратификации иг­
рают регионы. Регион — это определенная часть страны, отличающая­
ся совокупностью природно-естественных, исторических, социально-
экономических и социокультурных особенностей.

8. Если суммировать совокупность отличительных особенно­
стей и условий жизнедеятельности людей в поселениях различного
типа и в различных регионах, то специфика социально-террито­
риальной общности определяется:

1) историческими особенностями развития данной общности, свойственными ей традициями, обычаями, особенностями труда и быта;


2) экономическими условиями - структурой экономики, осо­
бенностями разделения труда, профессиональным составом населе­
ния, его трудовой мобильностью и т.д.;

3) социально-политическими условиями — степенью вовлечения
населения в принятие управленческих решений, особенностями и эф­
фективностью управления, отношения населения к властным и управ­
ленческим структурам;

4) социокультурными условиями - наличием или отсутствием
учреждений образования, культуры, науки, соответствующих отрядов
интеллигенции и др.;

5) экологическими условиями — особенностями природно-
ландшафтной среды, наносимым ей ущербом, эффективностью ее
воспроизводства, охраны и т.д.

9. В соответствии со структурой социально-территориальной
организации жизнедеятельности складывается определенная иерархия
(соподчиненность) социально—территориальных общностей. Они рас­
полагаются в следующем ранговом порядке:

- высшая социально-территориальная общность - все населе­
ние страны;

- областные социально-территориальные общности;

- городские социально-территориальные общности;

- районные социально-территориальные общности;

- поселковые и сельские социально-территориальные общности.

10. Для определения основных тенденций развития социально-
территориальной структуры общества важное значение имеет выяс­
нение динамики таких важнейших показателей, как:

1) численность населения страны (региона, города);

2) распределение населения на городское и сельское;

3) соотношение мужчин и женщин в составе населения;

4) возрастно-половая пирамида населения;

5) национальный состав населения;

6) естественное движение населения (соотношение числа ро­
дившихся, умерших);

7) численность экономически активного населения, соотноше­
ние в нем занятых и безработных;

8) распределение численности занятого населения по формам
собственности;

9) распределение численности занятого населения по отраслям
экономики;

10) уровень жизни населения.

ПО


11. Все эти показатели, проанализированные в их динамике и в их взаимосвязи друг с другом, дают возможность представить пано­рамную картину жизнедеятельности народа данной страны. Народ — это совокупность всех социальных общностей, слоев и групп, занятых в различных сферах деятельности (экономической, политической, социальной, культурной) в системе общественного разделения труда, имеющих общую историческую судьбу, сходные существенные при­знаки образа жизни, а также чувство принадлежности к единой соци­ально-исторической общности людей. Именно народ представляет собой высшую ранговую структуру во всех социально-территори­альных общностях данной страны.

16.2 Практические задания

1. а) На основе ознакомления с содержанием 16-й гл. Учебного пособия и данного Практикума дайте определение следующих ключе­вых терминов:

Поселенческая общность.

Социально-территориальная структура (общность).

Город.

Урбанизация.

Деревня.

Население.

Регион.

Народ.

б) Выясните смысл и запомните следующие важнейшие тер­мины, знание которых необходимо для уяснения содержания данной главы:


Производственная деятельность. Непроизводственная деятельность.


Искусственно созданная среда. Городское население. Сельское население


2. На прилагаемой структурно-логической схеме отражено ос­новные факторы развития индивида в поселенческих общностях. На­зовите один из факторов, который в данной схеме не упоминается.



 


3. Объясните, почему поселенческая структура определяет меру
возможностей социального развития индивида. Охарактеризуйте
четыре основных фактора поселенческой структуры, которые иг­
рают наиболее существенную роль в социальном формировании
и развитии личности.

4. Дайте определение города как специфической поселенческой
общности, представляющей собой наиболее продвинутую в эко­
номическом, политическом, социальном, культурном отношении
социально-территориальную структуру.

5. Приведите определение деревни как социально-территориальной
структуры и поселенческой общности. Назовите основные отли­
чительные особенности этого типа поселения.

6. Охарактеризуйте сущность и содержание процесса урбанизации.
Назовите и дайте оценку основных признаков урбанизации.

7. Объясните, что представляет собой регион, каковы его характер­
ные особенности, какими чертами определяется его специфика как
своеобразной социально-территориальной общности.

8. Чем определяется специфика социально-территориальной общности?

9. Охарактеризуйте ранговую иерархию социально-территориаль­
ных общностей в пределах страны.

 

10. Какие показатели имеют важное значение для определения тен­
денций развития социально-территориальной структуры?

11. Объясните, почему высшую ранговую структуру во всех социаль­
но-территориальных общностях страны занимает народ.

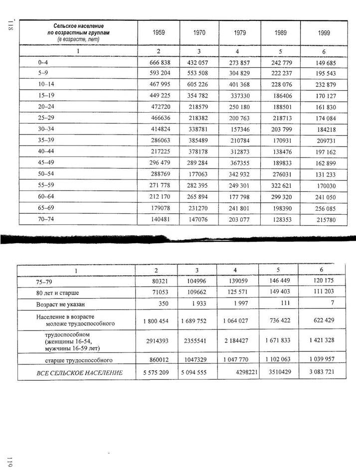
12. На последующих страницах приводится таблица "Население рес­
публики Беларусь по возрастным группам в 1959, 1970, 1979, 1989,
1999 гг.". Внимательно проанализируйте эту таблицу и скажите,
насколько увеличилось население республики на протяжении по­
следних сорока лет. Определите, как изменилась доля лиц моложе
трудоспособного возраста за эти годы. Обратите внимание, в ка­
ком соотношении находятся когорты населения трудоспособного
и нетрудоспособного возраста. Оцените динамику изменения чис­
ленности населения старше трудоспособного возраста.

13. Присмотритесь внимательно к изображенным трем диаграммам
(с. 120, с. 121), которые отражают динамику численности от­
дельных возрастных групп населения Беларуси за период 1959—
1999 гг.



 



 



 



 



 


7. Социально-территориальные общности. Социология города и социоло­
гия деревни // Социология. Под. ред. Г.В. Осипова. М., 1990.

8. Социально-территориальная структура общества // Социология: наука об
обществе. / Под. ред. В.П. Андрущенко, В.И. Горлача. Харьков, 1996.


Глава 17.


 

Этнонациональная структура общества


 


17.1


Основные положения


1. Одна из важнейших особенностей постсоветского общества
состоит в том, что в нем резко возрастает значимость и роль этнона-
циональной стратификации. Этничность превращается в мощный со­
циальный фактор, действующий не менее активно и эффективно, чем
такие признанные критерии социальной стратификации, как доход,
образование, власть и т.п. Однако этничность - понятие очень широ­
кое, под него подпадают такие различные этнические группы, как
племя, народность, этнос, нация.

2. Племя — это такая природно-социальная общность людей, ко­
торая характерна для первобытно-общинного строя (архаичного об­
щества), объединена кровно-родственными связями, представляет
совокупность двух или нескольких родов, отличается от других пле­
мен своей территорией, языком, культурой, религиозными верова­
ниями. Так, на территории современной Беларуси в IX—X столетиях
н.э. проживали восточнославянские племена кривичей, родимичей и
дриговичей.

3. Развитие экономических и политических отношений, духов­
ной культуры приводит к возникновению более развитой, сложной и
обширной общности - народности. Народность - это исторически
сложившаяся языковая, территориальная, экономическая и социо­
культурная общность людей, следующая в процессе этнической эво­
люции за племенем и предшествующая нации. Племена и народности
представляют собой две исторически следующих друг за другом сту­
пени развития этноса.

4. Этнос — это природно-социалъная и антропологическая
общность людей, возникшая и развившаяся на основе единства при-
родно-ландшафтных условий, кровного родства, языка, особенностей


инешнего облика, общей культуры и религии. Этнос характеризуется наличием устойчивого самосознания и самоназвания, которое транс­формируется в языках других народов (например, немецкое "дойч" в русском и белорусском языках трансформируется в "немец", а в анг-пийском - в "джермен"). Самосознание этноса развивается через ан-жтезу "мы-они". Поэтому для этноса характерна комплиментарность, i.e. наличие симпатии или антипатии к другим этносам ("свои-чужие"). Отличительные черты этноса сводятся к следующему:

1) этнос как специфическая социально-природная общность
развертывает свои особенности в той области действительности, где
процессы биосферы и социосферы взаимопереплетаются;

2) этнос имеет четкие маркировки (признаки), отличающие его
от всех других этносов: различия в территории (родина предков), ра­
се, языке, религии, культуре, материальных основах жизни;

3) этнос обладает своеобразием антропологических характери­
стик одежды и культурных традиций;

4) люди, входящие в состав данного этноса, участвуют в общей
для всех их жизнедеятельности на основе общего этнического проис­
хождения (этногенеза) и культуры, воплощенной в языке;

5) все названные отличия составляют своеобразные "указате­
ли", которые позволяют людям данного этноса отличать себя от всех
других этнических групп по принципу "свои-чужие";

6) при возникновении территориальных, имущественных и
иных проблем между этносами чаще всего основой для принятия ре­
шений и действий является представление о вражде с иными этноса­
ми, а формой разрешения противоречий и споров выступает социаль­
ный конфликт.

5. На формирование и развитие этносов существенное влияние оказывают природно-ландшафтные условия, в которых осуществля­ется процесс этногенеза. Наличие относительно замкнутого природ­ного пространства, ограниченного крупными реками, непроходимыми болотами или горами, усиливает и ускоряет этногенезные процессы. Чем в более замкнутом пространстве находится этнос, тем более своеобразные черты приобретает процесс этногенеза и тем более своеобразной создаваемая этим процессом культура. И наоборот, там, где этническое пространство оказывается разомкнутым, этногенезные процессы характеризуются недостаточной выразительностью. Чтобы такое отличие стало более детально представимым, достаточно вспомнить, насколько резко отличаются друг от друга этносы, насе­ляющие Кавказ, и насколько похожи этносы, населяющие Восточно-Европейскую равнину - белорусы, украинцы и русские.


6. Великие географические открытия и последовавшая за ними
промышленная революция, неразрывно связанная с возникновением и
развитием капитализма, вызвали к жизни новый тип межэтнических
взаимодействий — широчайший, совершаемый в мировом масштабе
обмен товарами, идеями и услугами. Это дало возможность людям и их
этнокультурным общностям все дальше отходить от архаических пред­
ставлений об изначальной враждебности этносов друг другу. Станови­
лась все более широко признаваемой и принимаемой дуальная позиция,
предполагающая возможность исторического действия от одного по­
люса взаимоотношений — к другому, от конфликта — к сотрудничеству
и взаимодействию этносов. Именно этот процесс приводит к формиро­
ванию нации, которая представляет собой уже не этническую, а поли­
этническую и надэтническую общность людей.

7. Нация ~ это исторически сложившаяся полиэтническая со­
циальная общность людей,
возникшая и развивающаяся на основе
общности их территории, экономических связей, особенностей на­
ционального самосознания, психического склада, единого унифици­
рованного языка в его литературной форме, многослойной полифони­
ческой культуры, государственно-правового регулирования всех сфер
жизнедеятельности. Без единого унифицированного национального
языка, без осуществляемого в общенациональных масштабах госу­
дарственного и правового регулирования жизнедеятельности, без по­
лифонической и многослойной национальной культуры, сохраняю­
щей в себе исходную этнографическую многоцветность, нация не
может возникнуть и развиваться. А все это базируется на единой, ох­
ватывающей все группы населения страны, системе экономики. Все
эти особенности, отраженные и воплощенные в национальном само­
сознании, сближают прежде «чужих» представителей различных эт­
носов (например, во Франции — гасконцев, бургундцев, лотарингцев и
т.п.) в единую общенациональную социальную общность, резко рас­
ширяют зону самоотождествления людей — «мы» (например, «мы —
белорусы»). Таким образом, нация в своем становлении и развитии
неотрывна от национального самосознания, от осознания народом
своего своеобразия и единства своей исторической судьбы.

Рассмотрение особенностей становления и развития наций дает возможность вычленить их основные отличительные признаки. Они таковы:

1) общность территории;

2) общность экономических связей и деятельности;

3) своеобразие национального психического склада;

4) наличие единого унифицированного языка в его литератур­
ной форме;


5) развитие многослойной национальной культуры;

6) функционирование государственно-правовой системы регу­
лирования всех сфер жизнедеятельности.

8. Трансформационные процессы этнонационального развития
(i.e. развития, охватившего собой и этнос и нацию) дифференцирует­
ся на два основных типа. К первому из них - объединяющие
инонациональные процессы - относятся:

1) консолидация;

2) ассимиляция;

3) кооперация.

9. Трансформационные этнические процессы разделяющего ти­
па включают в себя следующие разновидности:

1) этническое доминирование,

2) этнодискриминация;

3) этноприоритетный национализм;

4) этнический геноцид.

10. В современных условиях становится необходимой конст­
руктивная этнонациональная политика государства. Ее основное
содержание - обеспечение :

1) реального равноправия всех этносов, проживающих на тер­
ритории данного государства во всех сферах жизнедеятельности -
экономической, политической, культурной, бытовой;

2) реализация и защита правового статуса национальных
меньшинств, необходимого для их социального, экономического и
социокультурного благополучия;

3) осуществление обоснованной и демократической миграци­
онной политики властей в отношении представителей любых этносов;

4) недопущение и законодательное преследование любых
действий, направленных на оскорбление национального достоинства
личности или народа;

5) запрещение деятельности политических партий, общест­
венных объединений, ведущих пропаганду социальной, националь­
ной, религиозной и расовой вражды.

Практические задания

1. Найдите в тексте Учебного пособия и данного Практикума определения следующих ключевых понятий и постарайтесь их запом­нить.

Этничность.

Этнонациональное развитие.



 


3. Расскажите, что представляет из себя народность, каким обра­
зом она формируется.

4. Дайте определение этноса. Охарактеризуйте отличительные осо­
бенности этноса.

5. Ответьте на вопрос, какие условия оказывают влияние на фор­
мирование и развитие этносов.

6. Расскажите, в каких исторических условиях и под влиянием ка­
ких факторов происходит формирование нагний.

7. Дайте определение нации. Расскажите, какие отличительные
признаки характеризуют эту социальную общность людей.

8. Охарактеризуйте трансформационные процессы этнонациональ-
ного развития, обладающего объединяющим типом. Расскажите,
какие процессы такого типа Вы знаете.

9. Расскажите, какие существуют типы разделяющих этнонацио-
нальных трансформаций. Охарактеризуйте особенности и формы
проявления таких процессов.

 

10. Охарактеризуйте сущность и основные принципы конструктив­
ной этнонациональной политики государства.

11. Ниже приведена таблица "Национальный состав населения респуб­
лики Беларусь в 1959, 1970, 1989 и 1999 гг.". Внимательно проана­
лизируйте данные, отраженные в таблице, и ответьте на вопросы,
численность каких национальных общностей в Беларуси на протя­
жении 40 лет изменяется в сторону уменьшения. Какие факторы, по
Вашему мнению, оказывают влияние на эти процессы?

12. Две диаграммы раскрывают динамику национального состава
населения Беларуси на протяжении последнего десятилетия
XX века. Объясните, почему за период 1989-1999 гг. общая доля
белорусов в структуре населения республики увеличилась, а доля
русских, украинцев, поляков и евреев - сократилась. Почему, по
Вашему мнению, наиболее интенсивно в составе населения Белару­
си уменьшается общая численность и относительная доля евреев?



 



 


\Щ 17-4~] Литература

1. Анцшенка А. Этнас, нацыя, нацыянальная самасвядомасць // Беларусжа.
Кн.З. Нацыянальныя i рэпянальныя культуры, ix узаемадзеянне. Мн.
1994.

2. Арутюнян Ю. В., Дробижева Л. М. Этносоциология: пройденное и новые
горизонты // Социологические исследования. 2000. № 4

3. Ахиезер А.С. Этнос и нация: динамика конфликта. // Взаимодействие
политических и национально-этнических конфликтов. М, 1994. Ч. 1.

4. Бабосов Е.М. Конфликтология. 2-ое изд. Мн., 2001. Гл. 15 "Этнонацио-
нальные конфликты" и гл. 16 "Подвижные грани солидарности - кон­
фликтности в индивидуальных и групповых процессах этнической иден­
тификации".

5. Бородай Ю. Пути становления национального единства // Наш совре­
менник. 1995, №1.

6. Бердяев Н.А. Судьба России. Опыты по психологии войны и националь­
ности. М, 1918.

7. Бромлей Ю.В. Очерки теории этноса. М., 1983.

8. Гумилев Л.Н. Этногенез и биосфера Земли. Л. 1990.

9. Комаров М.С. Национально-этнические общности и отношения // Введе­
ние в социологию. М, 1994. Гл. 4, §5.

 

10. Национальный состав населения Республики Беларусь и распространен­
ность языков. Статистический сборник. Т. 1. Мн., 2001.

11. Пшпенка М. Ф. Старажытныя этшчныя супольнасщ на тэрыторьп Бела-
pyci // Беларусь на мяжы тысячагоддзяу. Мн., 2000.

12. Постсоветское пространство: этнополитические проблемы ("Круглый
стол") // Социологические исследования. 1997. №№1, 2.


rnaeaiS,


 

Социальные организации


Основные положения

1. Термин "организация" употребляется в нескольких значени­ях. Его употребляют, когда говорят 1) об организованной, определен­ным образом упорядоченной деятельности людей; 2) о степени внут­ренней упорядоченности, согласованности частей единого целого (например, деятельность цехов одного завода; 3) об определенном элементе социальной структуры общества. Именно третье значение данного термина чаще всего употребляется в социологии.


2. В социологии принято деление организаций на формальные
и неформальные.
Под неформальными организациями понимается
система межличностных связей, возникшая на основе взаимного ин­
тереса индивидов друг к другу без соотнесенности с функциональны­
ми нуждами, т.е. непосредственная, стихийно возникающая общность
людей (товарищеская компания, объединение по любительских инте­
ресам и т.п.).

3. В наибольшей степени социологов интересуют формальные
организации. Существенные признаки формальной организации со­
стоят в следующем:

 

1) Наличие определенной цели действия данной организации.

2) Совокупность функциональных положений, занимаемых
членами данной организации, воплощаемых в свойственных им со­
циальных статусах (должностях) и ролях.

3) Конкретное воплощение соотношения этих статусов (пози­
ций) через распределение отношений власти и подчинения.

4) Совокупность правил и норм, регулирующих отношения
между людьми, занимающими определенные статусы в данной орга­
низации и выполняющими определенные роли в ней.

5) Формализация значительной части целей функций данной
организации и нормативная регуляция поведения, отношений между
членами данной организации (устав предприятия, например).

4. Формальная организация обладает определенной структурой.
Социальная структура организации определяется тремя основными
факторами:

1) целями и функциями;

2) ценностно-нормативными стандартами;

3) иерархической упорядоченностью социальных статусов и ролей.

5. В процессе своего функционирования социальная организа­
ция вырабатывает два ряда требований: один из них - требования
организации к входящим в ее состав индивидам, а другой - требова­
ния к организации. Требования организации к индивидам состоят в
следующем:

1) активная и эффективная деятельность, направленная на ус­
пешное достижение цели, стоящей перед организацией;

2) требования к индивидам формулируются безотносительно к
их личностным особенностям, т.е. как безличностные (университет,
например, предъявляет свои требования к студентам, независимо от
особенностей личности каждого из них);

3) требования предъявляются к индивидам как к членам опре­
деленной социальной общности (скажем, требования к студентам оп-


ределенного вуза, определенного факультета, определенного курса и т.п.).

6. Требования со стороны индивида к организации таковы:

1) обеспечение устойчивости социального положения данного
индивида;

2) возможность самоутверждения индивида в обществе как
члена данной организации (члена партии, религиозной общины, фут­
больного клуба и т.д.);

3) обеспечение условий (социальных, бытовых, культурны и
т.п.) для его саморазвития как личности.

От взаимодействия и взаимоудовлетворения этих требований зависит устойчивость данной организации, динамика и эффектив­ность ее деятельности

7. Формальная организация обладает характерными чертами
(особенностями). Суть их такова: формальная организация

рациональна, т.е. формируется и действует в соответствии с
принципами целесообразности, рациональности, сознательного дви­
жения к цели;

безпичностна, т.е. нейтральна к индивидуальным личност­
ным особенностям своих членов, поскольку рассчитана на их взаимо­
отношения, устанавливаемые по составленной программе (например,
отношения между солдатами и офицерами в армии, между директо­
ром, инженерами, бухгалтерами, рабочими на заводе и т.д.);

• предусматривает и регулирует только служебные отношения;