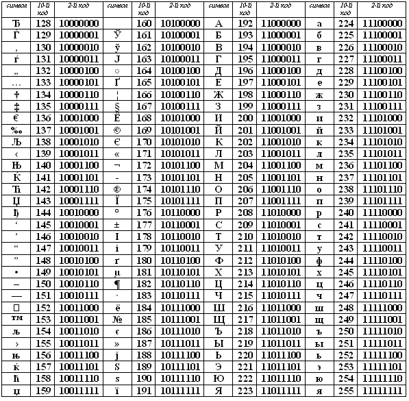
Вторая половина таблицы кодов ASCII

К сожалению, в настоящее время существуют пять различных кодировок кириллицы (КОИ8-Р, Windows. MS-DOS, Macintosh и ISO). Из-за этого часто возникают проблемы с переносом русского текста с одного компьютера на другой, из одной программной системы в другую.
Хронологически одним из первых стандартов кодирования русских букв на компьютерах был КОИ8 ("Код обмена информацией, 8-битный"). Эта кодировка применялась еще в 70-ые годы на компьютерах серии ЕС ЭВМ, а с середины 80-х стала использоваться в первых русифицированных версиях операционной системы UNIX.
От начала 90-х годов, времени господства операционной системы MS DOS, остается кодировка CP866 ("CP" означает "Code Page", "кодовая страница").
Компьютеры фирмы Apple, работающие под управлением операционной системы Mac OS, используют свою собственную кодировку Mac.
Кроме того, Международная организация по стандартизации (International Standards Organization, ISO) утвердила в качестве стандарта для русского языка еще одну кодировку под названием ISO 8859-5.
Наиболее распространенной в настоящее время является кодировка Microsoft Windows, обозначаемая сокращением CP1251.
С конца 90-х годов проблема стандартизации символьного кодирования решается введением нового международного стандарта, который называется Unicode. Это 16-разрядная кодировка, т.е. в ней на каждый символ отводится 2 байта памяти. Конечно, при этом объем занимаемой памяти увеличивается в 2 раза. Но зато такая кодовая таблица допускает включение до 65536 символов. Полная спецификация стандарта Unicode включает в себя все существующие, вымершие и искусственно созданные алфавиты мира, а также множество математических, музыкальных, химических и прочих символов.