Числовые ряды
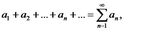
Определение. Числовым рядом называется сумма

где ап 
Пример 2.19 . 
Определение. Числовой ряд называется сходящимся, если

где
частичная сумма ряда;
S − сумма ряда.
В противном случае ряд называется расходящимся.
2.91. Записать формулу общего члена ряда:

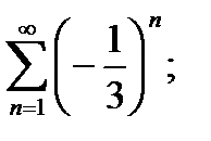
2.92. Найти сумму числового ряда:
1)
2)
3) 
Достаточный признак расходимости ряда
Если
то ряд
расходится.