Диаграмма напряжений
Опытные данные
Схема образца после испытания

Усилия и деформации в характерных точках диаграммы растяжения
| Npr = кН | Ny = кН | Nu = кН | No = кН |
= мм
| = мм
| = мм
| = мм
|
Машинная диаграмма растяжения

Результаты испытания
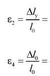
Деформации в характерных точках диаграммы напряжений
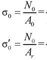
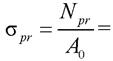
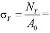
Характеристики прочности
предел пропорциональности
предел текучести
предел прочности
Характеристики пластичности
относительное остаточное удлинение

относительное остаточное сужение
Удлинение к моменту разрыва
Полное 
Упругое 
Остаточное 
Напряжения в момент разрыва

Условное
Истинное
Диаграмма напряжений

Определение марки стали
Марка стали(определена по нижнему нормативному пределу)
Ст кп
МПа
Нормативное сопротивление
МПа
Расчетное сопротивление
МПа
Выводы
Определены механические характеристики, марка стали - Ст кп, нормативное сопротивление
МПа, расчетное сопротивление Ry = МПа.
= мм
= мм
= мм
= мм