Приведенная (дисконтированная) стоимость
Дисконтированная стоимостьвыражает стоимость будущих потоков платежей в значении текущих потоков платежей. Определение дисконтированной стоимости широко используется в экономике и финансах как инструмент сравнения потоков платежей, получаемых в разные сроки. Модель дисконтированной стоимости позволяет определить, какой объем финансовых вложений намерен сделать инвестор для получения определенного денежного потока через заданный срок. Дисконтированная стоимость будущего потока платежей является функцией:
· инфляции,
· срока через который ожидается будущий поток платежей,
· риска связанного с данным будущим потоком платежей,
· стоимости денег с учетом фактора времени
· других факторов.

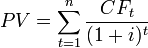
где
- поток платежей полученный через t лет,
- ставка дисконтирования определенная исходя из вышеперечисленных факторов,
- дисконтированная стоимость будущего потока платежей
.
Для того чтобы получить через t лет сумму равную
, при том что инфляция, риск и др. определяют ставку дисконтирования равную i, инвестор согласен вложить сегодня сумму равную PV.
Дисконтированная стоимость серии потоков платежей равна сумме дисконтированных стоимостей каждого из составляющих потоков платежей.

Если аннуитетные платежи имеют одинаковую величину, то эту формулу можно применять и для вычисления дисконтированной стоимости аннуитетных платежей.
Если денежные потоки аннуитетных платежей растут в (1+g) раз (ставка роста равна g), то их дисконтированная стоимость вычисляется по формуле:

Исходя из формулы расчета дисконтированной стоимости аннуитетных платежей, можно получить формулу для дисконтированной стоимости перпетуитетов(бессрочных аннуитетов). Когда значение стремится к бесконечности, часть формулы
, стремится к нулю. При таких условиях формула для перпетуитетов будет иметь следующий вид: 