Номенклатура нуклеозидов и нуклеотидов
| А. | Нуклеозиды | ||||||||
| Пентоза: | (Х = ОН) – β,D – рибофураноза; (Х = Н) - β,D-2′-дезоксирибофураноза | |||||||
| Рибонуклеозиды | Дезоксирибонуклеозиды | ||||||||
| Аз. осн. (АО) | Нуклеозиды | Аз. осн. (АО) | Нуклеозиды | ||||||
| Аденин Гуанин Цитозин Урацил | А Г Ц У | Аденозин Гуанозин Цитидин Уридин | А Г Ц У | Аденин Гуанин Цитозин Тимин | А Г Ц Т | Дезоксиаденозин Дезоксигуанозин Дезоксицистидин Тимидин | дА дГ дЦ дТ | ||
| Б. | Нуклеотиды (фосфорные эфиры нуклеозидов) | ||||||||
| РНК: ДНК: | β,D – рибофураноза; АО – аденин, гуанин, цитозин, урацил β,D-2′-дезоксирибофураноза; АО – аденин, гуанин, цитозин, тимин | |||||||
| Рибонуклеотиды | Дезоксирибонуклеотиды | ||||||||
| Названия нуклеотидов | |||||||||
| I. Как солей | |||||||||
| Аденозин-5′-фосфат Гуанозин-5′-фосфат Цитидин-5′-фосфат Уридин-5′-фосфат | рА, АМФ рГ, ГМФ рЦ, ЦМФ рУ, УМФ | Дезоксиаденозин-5′-фосфат Дезоксигуанозин-5′-фосфат Дезоксицитидин-5′-фосфат Тимидин-5′-фосфат | рдА, дАМФ рдГ, дГМФ рдЦ, дЦМФ рТ, ТМФ | ||||||
| II. Как кислот | |||||||||
| 5′-Адениновая кислота* 5′-Гуаниновая кислота 5′-Цитидиловая кислота 5′-Уридиловая кислота | 5′-Дезоксиадениловая кислота 5′-Дезоксигуаниловая кислота 5′-Дезоксицитидиловая кислота 5′-Тимидиловая кислота | ||||||||
* Названия нуклеотидам можно давать одним словом (например, 5′-аденилат)
Нуклеотиды называют или как соли (монофосфаты), или как соответствующие кислоты (монозамещенные производные фосфорной кислоты) с указанием в обоих случаях положения фосфатного остатка (табл. 2Б). Например, аденозин-5′-фосфат (рА), или аденозимонофосфат (АМФ).
Нуклеотиды в физиологических условиях (pH = 7) находятся в ионизированном состоянии (за счет остатков фосфорной кислоты), поэтому, в силу их кислотных свойств, последний способ названия предпочтительнее.
· Большое значение в живых системах играют нуклеотиды, содержащие в своем составе ди- и три фосфатные группировки. Важнейшими среди этих производных являются аденозинтрифосфат (АТФ) и аденозиндифосфат (АДФ), которые способны к взаимопревращениям путем наращивания или отщепления фосфатных групп:

+ H2O
АТФ4 –
|
+ H3PO4–
АДФ 3 – ортофосфат
В этих соединениях фосфатные группы в физиологических условиях (pH = 7.0) почти полностью ионизированы, поэтому их часто записывают в виде анионов АТФ4-, АДФ3-.
Главная особенность этих нуклеотидов состоит в том, что их полифосфатные группы содержат высокоэнергетические связи (обозначение – ~). При гидролизе такой связи выделяется энергия, необходимая для биохимических процессов (синтез веществ) и физиологических процессов (механическая, осмотическая и др. виды работы) (см. раздел учебника «Энергетический обмен»).
· АТФ участвует в процессах фосфорилирования многих метаболитов, что способствует их активированию (с образованием фосфорных эфиров) а, следовательно, дальнейшему использованию для нужд организма.
· Нуклеотидами являются многие коферменты НАД-, НАДФ- и НАД-производные аденозинфосфата, коэнзим А (HSKoA) – производное аденозиндифосфата.
· Важнейшая биологическая роль нуклеотидов заключается в том, что из них построены нуклеиновые кислоты (полинуклеотиды).
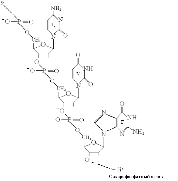
Первичная структура нуклеиновых кислот определяется природой и последовательностью нуклеотидных звеньев. Последовательно расположенные нуклеотиды в молекулах ДНК и РНК ковалентно связаны друг с другом при помощи сложноэфирных фосфатных «мостиков». Роль мостика между остатками нуклеотидов выполняет 3′ → 5′ фосфодиэфирная связь (–O–P–O–), соединяющая С3′ –атом пентозы (рибозы или дезоксири
// \
О О
бозы) одного нуклеотида и С5′ –атом другого нуклеотида. Таким образом, каркас полимерной цепи нуклеиновых кислот (как ДНК, так и РНК) состоит из монотонно повторяющихся пентозных и фосфатных остатков, связанных сложноэфирными связями (у С3′ и С5′), а азотистые основания являются «боковыми» группами, присоединенными к пентозным остаткам на равных расстояниях друг от друга (рис. 2).

Рис. 2. Первичная структура нуклеиновых кислот
· Полинуклеотидные цепи ДНК и РНК несут множество фосфатных групп, которые легко диссоциируют в физиологических условиях, вследствие чего молекулы НК приобретают суммарный отрицательный заряд (проявляют кислотные свойства, отсюда происхождение их названия – кислоты). В связи с кислотным характером эти соединения во многих случаях связываются в клетке с основными белками, заряженными «+», с образованием нуклеопротеиновых комплексов – рибонуклеопротеиновых (РНП) и дезоксирибонуклеопротеиновых (ДНП).
· Полинуклеотидная цепь имеет определенное направление, т.е. характеризуется полярностью, поскольку все межнуклеотидные связи ориентированны вдоль цепи одинаково (3′ → 5′ фосфатные мостики). На одном конце цепи остается свободной 5′ – ОН-группа, этерифицированная фосфатом, (начало цепи); на другом – 3′ – ОН-группа, которая не связана с другим нуклеотидом (конец цепи) (рис. 1). Последовательность азотистых оснований записывается в направлении от 5′р-конца цепи к 3′(ОН) концу (аминокислотная последовательность полипептидной (белковой) цепи пишется в направлении от N-концевой к С-концевой аминокислоте, см. раздел «Пептиды» данной разработки). Например, тринуклеотиды АЦГ и ГЦА – разные соединения, точно так же, как трипептид ала-гли-три отличается от три-гли-ала.
Специфические длинные последовательности азотистых оснований А, Т, Г и Ц в ДНК служат символами для кодирования генетической информации. Например, фрагмент цепи ДНК, имеющий ориентацию фосфатных мостиков 3′ → 5′, можно записать как А-Г-Ц-Ц-Т-. . . ., или 5р А-Г-Ц-Ц-Т-. . . . . 3(ОН), где р – остаток фосфата.