Дифференциальный усилитель
На практике часто возникает необходимость измерения разности двух входных напряжений. В качестве примера на Рис. 3.8 представлен мостовой тензодатчик.

Рис. 3.8. Внесение синфазной помехи в сигнал с мостового тензодатчика.
Элементы Х1 и Х2 — это два контролируемых тензорезистора, включенных таким образом, что при механическом воздействии сопротивление Х1 возрастает, а сопротивление Х2 уменьшается. Элементы У1 и У2 — это идентичные тензорезисторы, не подвергающиеся механическому воздействию, назначение которых - температурная стабилизация схемы.
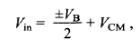
Напряжение Vв — это снимаемое с моста напряжение, величина которого на практике очень мала. При поступлении этого напряжения на усилитель напряжение на каждом его входе определяется как:
где Vcм — напряжение синфазной помехи, введенной в линию
от внешнего источника помех. Если соединительные провода от моста представляют собой экранированную витую пару, то вносимое синфазное напряжение будет одинаковым на обоих входах, что позволяет использовать дифференциальный усилитель.

Рис. 3.9. Схема дифференциального усилителя.
Для правильной работы схемы очень важно, чтобы выполнялось соотношение между резисторами R1 = R3 и R2 = R4. В этом случае: 
Для достижения максимального значения КОСС следует использовать прецизионные резисторы.
Дифференциальные усилители получили широкое распространение в приборах, где необходимо усиливать сигналы малого напряжения при наличии синфазных помех, например в термопарах, тензопреобразователях, медицинских электронных приборах.